null
US
Sign In
Sign Up for Free
Sign Up
We have detected that Javascript is not enabled in your browser. The dynamic nature of our site means that Javascript must be enabled to function properly. Please read our
terms and conditions
for more information.
Next up
Copy and Edit
You need to log in to complete this action!
Register for Free
7114856
Probabilidad
Description
Las técnicas de conteo sirven para contar los casos posibles de un conjunto; permiten reducir cálculos cuando no están sencillos enumerar los elementos de un conjunto
No tags specified
probabilidad
distribucion probabilistica
esperanza matemática
enseñanza de las matemáticas
Mind Map by
Angeles Rodríguez
, updated more than 1 year ago
More
Less
Created by
Angeles Rodríguez
about 9 years ago
163
0
0
Resource summary
Probabilidad
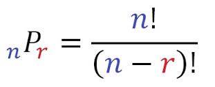
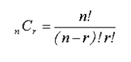
Muestras de conteo
Axiomatización
Teoremas
Distribucion de probabilidad
Fenomenos
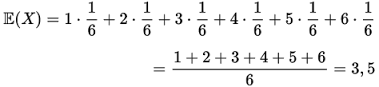
Variables
Media attachments
cff23e3a-d5a5-4a09-a2b1-dea9546e6f54 (image/png)
080a7bf2-627b-4cca-8095-dc77ce4664d0 (image/jpg)
be843c62-e830-45a6-b9e8-81f1e837079a.JPG (image/JPG)
1cf368b3-f010-4f94-a7bf-20d24e3fd538 (image/jpg)
3c2f6d7b-9ebc-4436-bc92-e46f006b3585 (image/png)
aee9cda5-cf31-44ce-ba09-b85a7019529b (image/png)
7a759ff5-42cf-466d-82c4-bd8065c544cb (image/png)
983d3a53-c243-4251-baab-d4ac636bf8c8 (image/png)
7740c6d8-5dc1-4c87-bd44-b65aae4a67bd (image/png)
0d1702de-5f86-4750-960a-c83aaf33c4df (image/jpg)
155aeba7-4c9c-43a7-bd01-bd6e9c0fba86 (image/png)
87ddf9c3-50e6-452a-9bce-61decf61ba28 (image/png)
86b0a26f-0097-46bc-a423-75644c1a25a7 (image/png)
8be3f10b-7080-47ab-bafe-9e2a394b444c.gif (image/gif)
d1f104f1-3357-487f-8966-d599f43fe12d (image/jpg)
9ec83e36-2374-48e2-a135-03cfcd7d3758 (image/jpg)
64b0873d-0ae8-43b2-84c0-9b91dffe82b2 (image/png)
Show full summary
Hide full summary
Want to create your own
Mind Maps
for
free
with GoConqr?
Learn more
.
Similar
METODOS PROBABILISTICOS
duvan heavy
PROBABILIDAD CONDICIONAL
jeslin.guevara
MUESTREO Y DISTRIBUCIONES MUESTRALES
Yumary Lima Ruiz
Conceptos de estadística y probabilidad
Diego Santos
PROBABILIDAD
muttyxion
Mapa Conceptual de Probabilidad
robinson conde
Distribuciones de Probabilidad
Ender Diaz
reglas para calcular probabilidades
Ignacio Torres Romero
Regresión lineal y correlación
Ignacio Torres Romero
FASE 1 AXIOMAS DE PROBABILIDAD
Julian Vargas
Prueba de Hipótesis
Ignacio Torres Romero
Browse Library