BOX PLOTS

Description

BOX PPLOTS
tayyab99
Mind Map by tayyab99, updated more than 1 year ago
tayyab99
Created by tayyab99 over 10 years ago
65
1

Resource summary

BOX PLOTS
  1. A box and whisker plot is used to display information about the range, the median and the quartiles. It is usually drawn alongside a number line, as shown

    Annotations:

    • A box and whisker plot is used to display information about the range, the median and the quartiles. It is usually drawn alongside a number line,
    1. Example The oldest person in Mathsminster is 90. The youngest person is 15. The median age of the residents is 44, the lower quartile is 25, and the upper quartile is 67. Represent this information with a box-and-whisker plot. Solution A box plot diagram
      1. Upper Quartile
        1. upper quartile or the 75th percentile (splits off the highest 25% of data from the lowest 75%)
        2. lower quartile
          1. The 25th percentile
          2. inter quartile-The interquartile range is the difference between the upper quartile and lower quartile.
              1. WORKING OUT UPPER,LOWER AND INTERQUARTILE RANGE
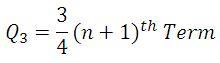
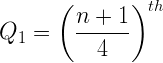
                1. lOWER
                  1. UPPER
                  2. The "interquartile range", abbreviated "IQR", is just the width of the box in the box-and-whisker plot. That is, IQR = Q3 – Q1. The IQR can be used as a measure of how spread-out the values are. Statistics assumes that your values are clustered around some central value. The IQR tells how spread out the "middle" values are; it can also be used to tell when some of the other values are "too far" from the central value. These "too far away" points are called "outliers", because they "lie outside" the range in which we expect them.
                    Show full summary Hide full summary

                    Similar

                    Frankenstein by Mary Shelley
                    nina.stuer14
                    Plot in 'An Inspector Calls' GCSE
                    magicalinsanity
                    An Inspector calls plot & structure
                    anya14
                    Elements of a Short Story
                    Amanda Adams
                    Literary Terms
                    Adesua Edgal
                    Branwen Ferch Llyr - Y Plot
                    Rhodri Davies
                    touching the void
                    chloe makin
                    Romeo and Juliet: Key Points
                    Ellen Wright
                    Macbeth - Individual Scenes and Characters
                    Scott Davenport
                    Plot
                    Kai Ladd
                    Box Plots
                    Tara_