Algebra - Expansion of Brackets

Description

My mind-map on the basics of expanding brackets in algebra.
jerick_hartono
Mind Map by jerick_hartono, updated more than 1 year ago
jerick_hartono
Created by jerick_hartono about 10 years ago
793
25

Resource summary

Algebra - Expansion of Brackets
  1. We don't usually write x (times) in an equation when multiplying, we instead just put the number in front of the bracket. (Example: 3y(4-2y), not 3y x (4-2y)
    1. Distributive Law
      1. a(b+c)
        1. We expand it by multiplying the number outside the bracket with both numbers inside the bracket.
        2. (a+b)(c+d)
          1. we do this by multiplying by using SLIP.
        3. Perfect Squares
          1. (a+b)^2
            1. We get our answer by expanding the brackets, and then simplifying it later,
              1. In general:
            2. Difference of 2 Squares
              1. (a+b)(a-b)
                1. Method: We will first have to expand the brackets, which will be a^2 +ab -ab -b^2. We will then need to simplify the terms and it will become a^2 - b^2.
                2. When we simplify, the two middle terms cancel out.
                  1. Examp,e:
                3. Simplifying
                  1. We simplify equations by finding the common factors, and then we simplify.
                    1. This is so that we can see the equations in a much easier way.
                      1. Example:
                      2. Expanding
                        1. Expanding expression with brackets
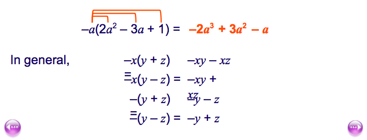
                          1. When there is a negative term outside the bracket, the sign of the multiplied terms change.
                            1. Example:
                            2. To expand, we have to multiply every term inside a bracket by the term outside the bracket.
                              1. Example:
                              2. Expanding brackets and simplifying
                                1. Sometimes, we need to multiply out brackets then simplify.
                                  1. Multiplying out both brackets or terms and collecting like terms.
                                  2. Examples:
                                2. We have to multiply the bracket in order to expand it.
                                3. We expand expressions by using SLIP
                                  Show full summary Hide full summary

                                  Similar

                                  GCSE Maths Symbols, Equations & Formulae
                                  livvy_hurrell
                                  GCSE Maths: Algebra & Number Quiz
                                  Andrea Leyden
                                  All AS Maths Equations/Calculations and Questions
                                  natashaaaa
                                  Transforming Graphs
                                  james_hobson
                                  A-level Maths: Key Differention Formulae
                                  humayun.rana
                                  Mathematics A - Edexcel - GCSE - Paper 1 November 2014 1MA0/1H Theory
                                  Josh Anderson
                                  Solving Simultaneous Equations
                                  Oliver Murphy
                                  AS level Maths Equations to Remember
                                  Gurdev Manchanda
                                  Algebraic & Geometric Proofs
                                  Selam H
                                  Simple Maths Questions
                                  Chloe De Silva
                                  Chapter 5: Algebra
                                  Sarah L