null
US
Sign In
Sign Up for Free
Sign Up
We have detected that Javascript is not enabled in your browser. The dynamic nature of our site means that Javascript must be enabled to function properly. Please read our
terms and conditions
for more information.
Next up
Copy and Edit
You need to log in to complete this action!
Register for Free
9025378
DIFFERENTIATION
Description
Present Maths
No tags specified
engineering
ipta
Mind Map by
Anizam Aziz
, updated more than 1 year ago
More
Less
Created by
Anizam Aziz
almost 9 years ago
3
0
0
Resource summary
DIFFERENTIATION
Question :
Solution :
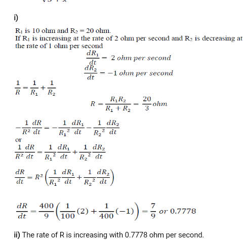
From the question, we know that R1= 10 ohm and R2 = 20 ohm.
We also know that R1 increasing at the rate of 2 ohm per second and R2 is decreasing at the rate of 1 ohm per second
dR1/dt = 2 ohm per second , dR2/dt = -1ohm per second
Media attachments
Screenshot 20170521 223528 (image/png)
Screenshot 20170521 230205 (image/png)
Show full summary
Hide full summary
Want to create your own
Mind Maps
for
free
with GoConqr?
Learn more
.
Similar
Orbital Mechanics
Luke Hansford
Module 1: Introduction to Engineering Materials
Kyan Clay
Software Processes
Nurul Aiman Abdu
Mathematics
rhiannonsian
Power
Luke Hansford
AOCS - Attitude and orbit control systems
Luke Hansford
Ordinary Differential Equations
rhiannonsian
audio electronics
Lillian Mehler
Building Structures
Niat Habtemariam
communication system
Lillian Mehler
Advanced Propulsion
Luke Hansford
Browse Library