|
|
Created by Florian Betz
over 10 years ago
|
|
| Question | Answer |
| Wie heißt das gemeinsame Projekt der NASA zusammen mit dem DLR und der Fakultät Luft- und Raumfahrt - speziell mit dem IRS? Um was für ein Flugzeug handelt es sich dabei? Was ist das aussergewöhnliche an dessen Konfiguration? | -SOFIA,Strospheric Observatory For Infrared Astronomy -Boeing 747SP als Träger des Teleskops, mit kürzeren Rumpf und größerer Reichweite -Hinter linker Tragfläche Ausschnitt im Rumpf, wodurch das Teleskop nach oben gerichtet wird |
| Zeichnen sie qualitativ ein Nutzlast-Reichweiten-Diagramm für ein Verkehrsflugzeug und charakterisieren Sie die wesentlichen Punkte! | |
| Die Strahltriebwerke der Verkehrsflugzeuge sind in den letzten zwanzig Jahren deutlich leiser geworden! Woran liegt das hauptsächlich? | Der Strahllärm ist proportional zur Durchströmgeschwindigkeit. Aus diesem Grund wurde es in den neuesten Entwicklungen vermieden, das Triebwerk mit einer hohen Geschwindigkeit auszulegen. Dabei musste aber der Massenfluss erhöht werden, um einen großen Schub zu erzeugen. |
| Was bedeutet "Trimmen"? Erklären Sie in diesem Zusammenhang auch den "Trimmwiderstand"! | Trimmwiderstand: Momente, die um den Schwerpunkt entstehen und vom Höhenleitwerk ausgetrimmt werden müssen. Trimmen: Dadurch kann der Pilot den Flugzustand stabilisieren |
| Nennen Sie drei Gründe, warum fast alle modernen Segelflugzeuge über ein T-Leitwerk verfügen! | -leicht montierbar -berührt den Boden nicht- geringer induzierter Widerstand |
| Was bezeichnet man als Flaperon oder Aileron-Droop (Airbus)? Erklräung! | Flaperons = Airlerons + Flaps => Querruder, die auch als Landeklappen verwendet werden. |
| Was bedeutet "statische Längsstabilität"? Was bedeutet "dynamische Längsstabilität"? Erläutern Sie den Zusammenhang! | statisch: Das Flugzeug erzeugt bei einer anstellwinkelvergrößernden Störung ein Nickmoment, welches der Vergrößerung entgegenwirkt. dynamisch: Setzt statische vorraus. Gedämpfte Bewegung und das Flugzeug geht langsam in die Ausgangslage zurück. |
| Bei welchem Anstellwinkel wird an einem Profil lediglich das Nullmoment gemessen? Wie kommt es zustande? Wie groß ist in diesem Fall die resultierende Auftriebskraft? Begründung! | Bei symmetrischen Profilen ist dieser Anstellwinkel null, sonst wird der Nullanstellwinkel α0 verwendet. Das Nullmoment wird von der Einstellung des Höhenleitwerks bestimmt und ist auftriebsunabhängig (=>A = 0) |
| Bei der Segefluggeschwindigkeitspolaren steigt die Geschwindigkeit für die größte Reichweite mit zunehmendem Gegenwind. Beeinflusst der Wind demnach den "Punkt des Besten Gleitens" des Segelflugzeugs? Skizze und Erklärung! | Durch den Gegenwind wird die relative Strömung bei gleicher Fluggeschwindigkeit vergrößert. Ausgangspunkt verschiebt sich nach rechts auf der v-Achse, was sich in einer Steigerung der Geschwindigkeit größter Reichweite als auch Punkt des besten Gleitens |
| In welchem Jahr wurde die Firma Airbus gegründet, wie heißt das erste Airbus-Modell und welches Bauteil war bereits bei diesem Flugzeug aus kohlefaserverstärktem Kunststoff (CFK)? | Gründung 1970 als Zusammenschluss aus Aerospatiale(Fr) und MBB (De) als europäischer Flugzeughersteller. A300 in 1972 als erstes Flugzeug. Seitenleitwerk aus Faserverbund |
| Skizzieren Sie jeweils ein symmetrisches Normalprofil, ein gewölbtes Profil und ein Laminarprofil und erläutern Sie die Unterschiede mit Hilfe der charakteristischen Profilparameter | Symmetrisch: Skelettlinie und Sehne übereinander. Kein Auftrieb bei α = 0 Gewölbt: Wölbung führt zu höheren Auftriebsbeiwerten und niedrigeren Widerständen. Laminar: extrem niedrige Reibungswiderstände durch Laminardelle |
| Zeichnen Sie qualitativ in ein Ca - α -Diagramm die Kurve eines symmetrischen Profils und die Veränderungen dieser beim Fahren der Hinterkantenklappen bzw. Vorderkantenklappen! In welcher Reihenfolge werden diese im Landeanflug gefahren? Begründung! | Reihenfolge: (a) Vordere (b) Hintere Würden zunächst die hinteren gefahren, so bestände bei größeren Anstellwinkeln die Gefahr eines Strömungsabrisses. |
| Welche Kraft wirkt im stationären Gleitflug der Gewichtskraft entgegen?(Skizze) | Der Gewichtskraft wirkt die resultierende Luftkraft aus Auftrieb und Widerstand entgegen. |
| Skizzieren Sie eine Segelfluggeschwindigkeitspolare, tragen Sie die beiden wichtigsten Punkte ein, bennen Sie diese und erläutern Sie deren Bedeutung für das praktische Segelfliegen! | bestes Gleiten: bei großen Strecken, da hier ein Optimum zwischen Vorwärts und Abwärts genutzt wird geringstes Sinken: wird immer dann angewandt, wenn man möglichst lange in der Luft bleiben möchte, allerdings ist die Reichweite damit kleiner als beim besten Gleiten |
| Erläutern Sie kurz die praktische Bedeutung der beiden markanten Punkte der Geschwindigkeitspolaren eines Motorflugzeuges und benennen Sie diese! (Skizze!) | steilstes Steigen: findet dort Anwendung, wo auf einer sehr kurzen Strecke eine gewisse Höhe erreicht werden muss bestes Steigen: Bei Startvorgängen, da hier sehr schnell eine große Höhe erreicht werden muss |
| Was ist die Aufgabe eines Zackenbands, das bei einem Segelflugzeug auf der Tragflächenunterseite bei ca. 80% der Profiltiefe angebracht ist? Welches Phänomen steck dahinter? | Durch das Zackenband wird der Umschlagpunkt der Grenzschicht weiter nach vorne verlegt. Die turbulente Strömung liegt länger an der Lauffläche an. |
| Zeichnen Sie für den stationären Höhenflug qualitativ den Verlauf des Gesamtwiderstandes über der Fluggeschwindigkeit auf und erklären Sie diesen! | Der Gesamtwiderstand w setzt sich zusammen aus dem auftriebsunabhängigen Nullwiderstand w0 und dem durch den Auftrieb verursachten induzierten Widerstand wi. Im stationären Horizontalflug gilt: A=G Ca=G/(q*S) Ferner gilt: Cw=Cw0+k*Ca^2 und q=rho/2*v^2 W=const*v^2+const/v^2 |
| Wo liegt der Druckpunkt des Gesamtluftfahrzeugs im stationären Horizontalflug?Begründung! | Symmetrisch: Druckpunkt im Neutralpunkt, also auf der t/4 Linie, da das Nullmoment 0 ist und daher kein Hebelarm zwischen den beiden Punkten notwendig ist, um das Moment zu kompensieren. Asymmetrisch,gewölbt: Besitzt Nullanstellwinkel und Nullmoment. Dieses greift im Neutralpunkt an. Der Druckpunkt muss soweit entfernt liegen, dass das Nullmoment durch den im Neutralpunkt angreifend angedachten Auftrieb und dem Hebelarm ausgeglichen werden kann. Damit liegt der Druckpunkt hinter dem Neutralpunkt xD>xN |
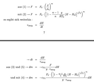
| Stellen Sie die Differentialgleichung für den Treibstoffverbrauch im Steigflug auf dm(dH)! Für die Abnahme des Schubs F mit der Luftdichte rho gilt: F/rho^m = const Nutzen Sie den allgmeinen Ansatz: dm= -ctl*F/g *dt | |
| Wie heißt das zur Zeit längste zivile Passagierflugzeug der westlichen Welt? Wie lang ist es und über wie viele Triebwerke verfügt es? | Die Rede ist vom A340-600- Er ist mit 75,3m 1,4m länger als die Boeing 777-300. Er ist bestückt mit vier Rolls Royce Trent 556 Triebwerken |
| Nennen Sie die Namen der beiden atmosphärischen Hauptbereiche des Luftraums mit Höhenangaben. Wie heißt die Grenzschicht dazwischen und was charakterisiert den höheren Bereich? | Troposphäre: 0 bis ca. 11km Tropopause: Grenzschicht Stratosphäre: über 11km Die Troposphäre wird als polytrop geschichtet angenommen. Obwohl sie nur 1% der gesamten Atmosphäre darstellt enthält sie 75% der gesamten Masse. Die Stratosphäre wird isotherm angenommen und damit ist auch die Schallgeschwindigkeit dort konstant. |
| Ermitteln Sie näherungsweise die Bezugsflügeltiefe lmü an einem Einfachtrapezflügel. Welches Modell steckt dahinter? | Die Bezugsflügeltiefe stellt die Flügeltiefe dar, die am Ort des Grundrissflächenschwerpunktes vorliegt. Sie wird verwendet, um einen Rechteckflügel mit gleicher Flügelfläche und dem gleichen Momentenverhalten zu erzeugen. |
| Nennen Sie drei geometrische Parameter eines Profils und erläutern Sie diese! | relative Dicke: maximale Dicke des Profils bezogen auf die Tiefe Dickenrücklage: Abstand Nase-Stelle der max. Dicke bezogen auf die Tiefe Wölbung: maximaler Abstand Sehne-Skelettlinie bezogen auf die Tiefe Wölbungsrücklage: Abstand Nase-Stelle der max. Wölbung bezogen auf die Tiefe |
| Erklären Sie die Begriffe "induzierter Widerstand" und "Intferferenzwiderstand"° Wie lauter die Faustformel zur Abschätzung des "Inteferenzwiderstands"? | Induzierter Widerstand: Ist der Anteil des auftriebsabhängigen Widerstandes, der ausschließlich bei einem langen Tragflügel auftritt. Er entsteht durch den Druckunterschied auf Flügelober- und Flügelunterseite und äußert sich in einer Umströmung der Flügelspitzen und dem Induzieren eines Randwirbels Interferenzwiderstand: Der Widerstand eines Zusammenbaus ist größer als die Summe der Teilwiderstände der Einzelteile. Die Differenz bezeichnet man als Inteferenzwiderstand. Faustformel: Pro Kante 1% auf die Summe der Teilwiderstände addieren. |
| Ein Verkehrsflugzeug verfügt über einen Tank im Rumpf, je einen weiteren in jedem Flügel und je einen sogenannten "Tiptank" in den Flügelspitzen. In welcher Reihenfolge werden diese ausgeflogen? | Reihenfolge: Rumpf, Flügel, Tiptank Die Gewichtskraft wirkt dem Auftrieb entgegen => Entlastung der Flügelaufhängung, da größeres Gegenmoment am Tiptank |
| Welche Größen ändern sich am Profil beim Fahren einer Klappe? | Auftriebsbeiwert Ca Widerstandbeiwert Cw Momentenbeiwert CM Max Auftriebsbeiwert Camax Max Anstellwinkel alphamax |
| Erläutern Sie in der Gleichung für den Höhenleitwerksauftrieb die Größen qH,epsilonH0, alphaW | |
| Geben Sie jeweils eine kurze Definition für den Druck- und Neutralpunkt an einem Profil mittels Kräfte- und Momentenbetrachtung! Wie hängen beide Punkte geometrisch zusammen? | |
| Vergleichen Sie im Gleitflug die Zustände "minimales Sinken" und "minimale Gleitzahl" hinsichtlich des Auftriebs- und Widerstandsbeiwertes und der Gleitzahl | |
| Wie heißt das für den Transport großer Baugruppen intern genutzte Flugzeug der Firma Airbus? Über wie viele Triebwerke verfügt es und aus welchem Airbusmuster heraus wurde es entwickelt? | Airbus A300-600ST Beluga. Zwei Triebwerke. Insgesamt 5 Stück gebaut |
| Nach welchem Berühmten Luftfahrtpinionier ist die Ca-Cw Polare benannt? Skizze für symmetrisches Normal- und Laminarprofil | Die Polare wurde von Otto Lilienthal selbst Lilienthalkurve genannt |
| Was bedeutet SEP (Erklärung und Formel) | Specific Excess Power = Überschussleistung/Gewicht SEP=(Fmax-W)*v/G |
| Warum geht die Tendenz auch bei Verkehrsflugzeugen (z.B. Airbus) zu größeren Flügelstreckungen? Wieso ist die Streckung des A380 Flügels wieder kleiner? Begründung | |
| Im Fluglabor wurde für eine Messung der Steuerknüppel des Flugzeuges kurz gezogen und wieder losgelassen. Welche Bewegung führte das Flugzeug danach aus und wie wird sie genannt? Was soll dadurch nachgewiesen werden? | Es entsteht eine sinusförmige Auf- und Abbewegung, die Phygoide genannt wird. Nach wenigen Perioden kehrt das Flugzeug in seine ursprüngliche Fluglage zurück. Das nennt man dynamische Längsstabilität |
| Was äußert sich durch die sogenannten Wirbelschleppen? Geben Sie für eine symmetrische Polare die Formel an und erklären Sie die einzelnen Parameter | |
| Wie heißt das größte Flugzeug der Welt, über wie viele Triebwerke verfügt es und wie hoch ist ungefähr seine maximal mögliche Abflugmasse? | Antonow An-225 Mrija 6 Triebwerke mit je 229,5 kN Schub Max Abflugmasse: 600t |
| Ist bei gleichem Auftriebsbeiwert der Anstellwinkel für einen Flügel mit kleiner oder mit großer Streckung größer Begründung | |
| Was beschreibt das Stabilitätsmaß und wie ist es formal definiert? | Wie der Name schon sagt handelt es sich um ein Maß für die Längsstabilität. Negative Werte bedeuten instabiles Flugverhalten -dCM/dCA=dxst/lmü |
| Warum haben moderne Verkehrsflugzeuge einen Trimmtank in der Höhenflosse? | Durch Umpumpen von Treibstoff aus dem Flügel ins Höhenleitwerk kann ein ausgetrimmter Zustand erreicht werden, wodurch Ruderausschläge überflüssig werden. Damit erspart man sich den durch die Ausschläge verursachten zusätzlichen Widerstand |
| Wie bezeichnet man bei einem Profil den Abstand der Skelettlinie von der Sehne? Wie ist die relative Dicke definiert und wie nennt man Profile, bei denen die maximale Dickenrücklage mehr als 40% beträgt? | Wölbung: Verhältnis maximaler Abstand Skelettlinie-Sehne zu Profiltiefe relative Dicke: Verhältnis der größten Profildicke zu Profiltiefe mehr als 40% Dickenrücklage: Ansteigende Rücklage bewirkt niedrigere CW-Werte und längere Laminarisierung -> Laminarprofile |
| Erklären Sie kurz das Prinzip eines Fahrtmesser am Flugzeug! | Mit einem Prandtl Rohr wird der Staudruck, bzw die Differenz von statischem und Gesamtdruck ermittelt. Mit diesem kann die Geschwindigkeit hergeleitet werden. |
| 1996 gewann die Uni Stuttgart mit einem Solarflugzeug den Berblingerpreis. Unter welchem Namen ist dieser Luftfahrtpionier noch bekannt? Wie heißt das Siegerflugzeug? | Albrecht Ludwig Berblinger auch genannt "Der Schneider von Ulm" Siegerflugzeug: Icaré II |
| Wodurch unterscheiden sich die Profilsehne und die Skelettlinie eines Profils? | Die Profilsehne ist die Verbindung von Profilvorderkante und Profilhinterkante. Die Skelettlinie ist die Menge aller Mittelpunkte der Dickenkreise, quasi die Mittellinie des Profils. Die beiden Linien sind bei symmetrischen Profilen identisch |
| Wie sind Start- und Landestrecke definiert? | Startstrecke: Startrollstrecke bis vLOF erreicht, sowie Übergangsflugstrecke bis zur Höhe von 35ft (10,668m) Landestrecke: Aufsetzstrecke welche bei einer Höhe von 50ft (15,24m) beginnt sowie die Landerollstrecke, bei der das Flugzeug abbremst |
| Leiten sie den Auftriebsbeiwert bei der minimalen Gleitzahl für eine symmetrische Polare her. | |
Want to create your own Flashcards for free with GoConqr? Learn more.