| Question | Answer |
| What is the correct terminology for the angles below and what is their relationship? | Alternate angles - they are equal |
| What is the correct terminology for these angles and what is their relationship? | Corresponding angles - they are equal |
| What is the correct terminology for the angles below and what is their relationship? | Supplementary/Co-interior/Allied angles - they add up to 180° |
| What is the correct terminology for these angles and what is their relationship? | Vertically opposite angles - they are equal |
| How do you find the volume of a prism? | Volume = Area of cross-section x height |
| How do you find the sum of the interior angles of a polygon? | Sum of interior angles = (n - 2) x 180° n = no. of sides |
| What is the sum of one interior angle and its exterior angle? | 180° |
| What is the sum of exterior angles? | 360° (To find one do 360 ÷ no. of sides) |
| How do you calculate frequency density? | Frequency density = Frequency ÷ class width |
| When drawing a cumulative frequency diagram, which values should you plot with? | Upper class boundaries (x) and cumulative frequency (y) |
| What does congruent mean? | Same shape and same size - identical in form |
| What does similar mean? | Having corresponding sides proportional and corresponding angles equal (same shape, different size) |
| How do you calculate the area of a sector? | |
| How would you calculate arc length? | |
| Which equation would you write down to describe 'y is proportional to x' | y = kx |
| Which equation would you write down to represent 'y varies directly proportional to the square of x' | |
| Which equation would you write down for 'y is indirectly proportional to the cube root of x'? | |
| If I'm working out the area of a similar shape, what do I need to remember to do with the scale factor? | Square it |
| If I'm finding the volume of a similar shape, what do I need to remember to do with the scale factor? | Cube it |
| How do I calculate interquartile range? | UQ - LQ |
| If I'm increasing something by 8%, what would I multiply by? | 1.08 |
| If I'm decreasing something by 5%, what would I multiply by? | 0.95 |
| If I multiply something by 1.025, what have I increased it by? | 2.5% |
| What calculation would you carry out if you wanted to work out how much money you would have in the bank if you saved £100 for 5 years at an interest rate of 0.2%? | |
| Which of these graphs show direct proportion? | I and II (directly proportionate graphs always go through (0,0) |
| Which of these graphs show indirect proportion? | IV only (reciprocal graph of the form y = k/x) |
| What type of graph is this? | Quadratic |
| Does the graph below have a maximum or minimum turning point and how do you know? | Maximum because the coefficient of x^2 is negative |
| Differentiate | |
| What do you get when you differentiate displacement? | Velocity |
| What do you get when you differentiate velocity? | Acceleration |
| If asked to ESTIMATE the gradient of a point on a curve, what should you do first? | Draw a tangent |
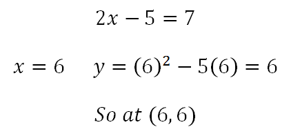
| If asked to find the gradient of a point on a curve, what should you do? | Differentiate and then substitute the x-value in |
| If asked to find which point on a curve has a specific gradient, what should you do? Eg: | Differentiate, put this equal to the given gradient and solve to find x coordinate (then find y coordinate) |
| What is the gradient (dy/dx) at a max or min turning point equal to? | 0 |
| If a turning point of a quadratic graph is at (3, -4), what is the equation of the axis of symmetry? | |
| How do you calculate the gradient of the line on which (x1, y1) and (x2, y2) lie? | |
| Gradients of parallel lines are...... | Equal |
| Gradient of perpendicular lines multiply to make... | - 1 |
| What is the midpoint of (x1, y1) and (x2, y2)? | |
| What is the distance between (x1, y1) and (x2, y2)? | |
| What would you use to find the area below? | |
| If you're asked to find the bearing of A from B, where should you draw the North line and how many figures should the answer have? |
At B, 3 figures
Image:
Bearings (image/gif)
|
| Name as many laws of indices as you can |
Image:
Laws Of Indices (image/jpeg)
|
| Name as many circle theorems as you can |
Image:
Circle Theorems (image/jpeg)
|
|
How do you rationalise these?
Image:
Rationalise (image/png)
|
Image:
Rationalise Ans (image/png)
|
| If asked to estimate the mean from a grouped frequency table, what should you do first? |
Find the mid-points
Image:
Estimated Mean (image/jpeg)
|
|
What would you use to find the angle m?
Image:
Sine Rule (image/png)
|
Sine rule |
|
When describing this transformation, which things do you need to include?
Image:
Rotation (image/png)
|
Rotation, state the centre of rotation, clockwise or anticlockwise and how many degrees |
| How do you construct a 45 degree angle with a compass? |
Perpendicular bisector to get 90 degree angle followed by angle bisector
Image:
Construction (image/png)
|
|
What is n(A U B)?
Image:
Sets (image/png)
|
13 |
|
Image:
Inequalities (image/png)
|
Image:
Inequalities Ans (image/png)
|
| When carrying out fg(2), which function do you substitute 2 into first? | The g function |
|
Describe the transformation
Image:
Enlargement (image/jpeg)
|
Enlargement, scale factor 2, centre of enlargement (2, 2) |
|
Describe the transformation
Image:
Reflection (image/jpeg)
|
Reflection in the line y = -1 |
|
Describe the transformation
Image:
Translation (image/png)
|
|
|
What would you use to find angle A?
Image:
Cosine Rule (image/png)
|
Cosine rule |
|
What would you use to find x?
Image:
Cosine Rule 2 (image/png)
|
Cosine rule |
|
State the elements in A'
Image:
Sets (image/png)
|
2, 3, 4, 11, 13 |
Want to create your own Flashcards for free with GoConqr? Learn more.