M7.10

Description

FY sem II Medicine Module 7 Flashcards on M7.10, created by Erica Lai on 02/04/2017.
Erica Lai
Flashcards by Erica Lai, updated more than 1 year ago
Erica Lai
Created by Erica Lai over 8 years ago
16
1

Resource summary

Question Answer
Name 4 chlormethine analogues Chloroambucil Melphalan Estramustine Uracil Mustard
Describe Chloroambucil aromatic ring is electron withdrawing lowers nucleophilic strength of nitrogen much less reactive first step less reactive alkylating agent (lasts longer in vivo, more chance of reaching target) less side reactions and less toxic
Describe Melphalan aromatic ring present less reactive alkylating agent mimics amino acid phenylalanine transported into cells by transport proteins
Describe Estramustine Urethane group is electron withdrawing Lowers nucleophilicity of nitrogen Alkylating group is attached to estradiol Steroid is hydrophobic - capable of crossing cell membranes
Describe Uracil mustard Uracil ring is electron withdrawing Less reactive alkylating agent Mimics a nucleic acid base Concentrated in fast growing cells
what is the effect of DNA alkylation? miscoding resulting from alkylated nucleic acid bases
what is the preferential tautomer for guanine and alkylated guanine? G - keto tautomer Alkylated G - enol tautomer
Difference in H bonding in guanine and alkylated guanine G - H bond acceptor, donor, donor Alkylated G - H bond donor, acceptor, donor
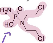
name the most commonly used alkylating agent cyclophosphamide
what is cyclophosphamide? how is it administered it is a non-toxic pro drug orally active
what is the by-product of the reaction of cyclophosphamide that is associated with toxicity? acrolein
what is the structure of the alkylating agent that arises upon activation of pro drug cyclophosphamide
name to nitrosoureas alkylating anticancer agents
what is the alkylating agent that arises from the decomposition of nitrosoureas prodrugs?
what is the anticancer effect of nitrosoureas alkylating agents alkylating agent causes interstrand crosslinking between G-C or G-G
what is the synthetic compound used as an anticancer agent that causes interstrand crosslinking via Sn2 reaction? Busulfan
write down the mechanism for busulfan reacting with DNA
What prodrug is this: What is its method of action? mitomycin C one of the most toxic anticancer drugs in clinical use DNA alkylation
name the naturally occurring alkylating agent which binds to a minor groove in DNA and alkylates adenine bases. CC1065 it is 1000x more active than cisplatin in vitro
what are oestrogen antagonists? agents that antagonise the action of oestrogens they are of interest for the treatment of oestrogen dependent breast cancer
name an oestrogen antagonist agent tamoxifen
What is tamoxifen Agent used to treat oestrogen hormone dependent breast cancer it is also referred to as a partial agonist
what is 17B-estradiol a steroid hormone that promotes the growth of certain tissues
what is the action of tamoxifen?§ it binds to the oestrogen receptor binding site without fully activating the receptor, preventing 17B-estradiol from binding
What are antimetabolites? compound that prevent the biosynthesis of normal cell metabolites
name an antimetabolite 5-Fluorouracil (5-FU)
what is the significance of the structure of 5-FU experimental observation that some tumour cells preferentially use uracil for the synthesis of the DNA base thymidine using a biosynthetic pathway not used by normal cells presence of fluorine at key position of the molecule prevents thymidine biosynthesis
how are cancer cell plasma membranes altered? contain distinctive antigens which are overexpressed when compared to normal cells
what is the significance of the presence of antigens on the plasma membranes of cancer cells? possibility of using antibodies against the disease
How do monoclonal antibodies work in the treatment of cancer? they are produced for several tumour associated antigens can act to activate the body's immune response to direct killer cells against the tumour
monoclonal antibodies are useful in the treatment of what cancers? breast colorectal lymphomas
disadvantage of using monoclonal antibodies? level of anticancer activity is usually low so they are often used in combination with small molecule anticancer drugs
what is herceptin? a humanised monoclonal antibody which targets the HER-2 growth factor receptor which is overexpressed on 25% of breast cancers it was approved in 1998 for treatment of HER-2 + metastatic breast cancer in combination with the mitotic inhibitor paclitaxel
what drug was approved in 1997 for the treatment of non-Hodgkin's lymphoma? Rituximab
What is Rituximab? a chimeric monoclonal antibody against the protein CD20 (primarily found on the surface of immune system B cells) it destroys B cells and is used to treat diseases which are characterized by excessive numbers of B cells or dysfunctional B cells (includes many lymphomas and leukaemias)
what are chimeric antibodies? proteins created through the joining of two or more genes that originally coded for separate proteins
Combination therapies are called _________. R-CHOP one of the more widely used combination chemotherapy regimens
in 2006 FDA approved R-CHOP as a first line treatment for? non-Hodgkin's lymphoma (NHL)
R-CHOP is used for the treatment of a wide range of B-cell NHL subtypes including _______ follicular lymphoma mantle cell lymphoma Burkitt's lymphoma primary mediastinal large B-cell lymphoma primary cutaneous B-cell lymphoma primary CNS lymphoma
outline R-CHOP treatment for beating cancer 6-8 treatments separated by 21 days Rituximab (monoclonal antibody) Cyclophosphamide (guanine alkylating agent) Vincrinstine (mitotic inhibitor) Doxorubicin (DNA intercalator acting as topoisomerase II poison)
Show full summary Hide full summary

Similar

Approaches & Methods for ESL
Krisi Handley
Biology Module 7: Genetics
mdhorselover
Biology Module 7- Genetics-Vocab
mdhorselover
Treatment of Organic Articulation Disorders
Simone Norman