null
US
Sign In
Sign Up for Free
Sign Up
We have detected that Javascript is not enabled in your browser. The dynamic nature of our site means that Javascript must be enabled to function properly. Please read our
terms and conditions
for more information.
Next up
Copy and Edit
You need to log in to complete this action!
Register for Free
2730621
MU e MUV
Description
Mind Map on MU e MUV, created by alice.lyra on 14/05/2015.
Mind Map by
alice.lyra
, updated more than 1 year ago
More
Less
Created by
alice.lyra
over 10 years ago
80
3
0
Resource summary
MU e MUV
Movimento retilíneo uniforme: Velocidade constante
Não existe aceleração
Distância se altera: movimento
Quando não se altera: repouso
V=ΔS/ΔT
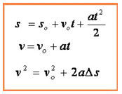
S=So+v.t
Movimento retilíneo uniformemente variado
Existe aceleração: a=ΔS/ΔT
Media attachments
c89e8d31-0e0c-4771-b19a-09c5ece9fd09 (image/jpg)
Show full summary
Hide full summary
Want to create your own
Mind Maps
for
free
with GoConqr?
Learn more
.
Similar
Cinemática Escalar: Conceitos fundamentais
Bruno Fernandes3682
Cinemática
Hugo Fonseca
Cinemática- Velocidade Média
Sara Leal
Queda livre
ana_santos_1_
Distância, Velocidade, Tempo
Hugo Fonseca
Física: Mecânica - Cinemática
GoConqr suporte .
Conceitos fundamentais da cinemática
annarios1313
Fórmulas de MU e MUV
riquefda
Cinemática - Texto teórico
Bruno Fernandes3682
MRU
Julio Bonella
CINEMÁTICA
Cleiton Tadeu Magueta
Browse Library