INTEGRAL

Description

Mind Map on INTEGRAL, created by Letícia Diniz on 02/07/2015.
Letícia Diniz
Mind Map by Letícia Diniz, updated more than 1 year ago
Letícia Diniz
Created by Letícia Diniz over 10 years ago
59
5

Resource summary

INTEGRAL
  1. Integral Definida
    1. Resultado não depende de x, é apenas um número
      1. Corresponde à área abaixo da curva
        1. Área Total
          1. Área Líquida
            1. Quando não se preocupa com uma descontinuidade ou quando muda para parte negativa
            1. Propriedades
            2. Integral Indefinida
                1. Retorna uma função dependente de x. E consideramos a família toda no processo de primitização por tanto é considerado a constante c.
                  1. + C
                    1. Tabela
                      1. Algumas integrais são importantes ter em mente
                        1. Casos gerais (expoente, ln, constante multiplicando)
                          1. Funções trigonométricas
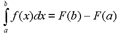
                      2. Teorema Fundamental do Cálculo
                        1. Seja f(x) uma função contínua em um intervalo fechado [a, b]
                            1. Se F'(x) = f(x) (ou seja, F(x) é uma primitiva de f(x)), então
                          1. Métodos para calcular integrais
                            1. Método de substituição
                              1. Consideramos algum termo da função como u e calculamos a sua derivada, a derivada pode substituir o resto da função e assim será fácil calcular a integral
                              2. Integração por partes
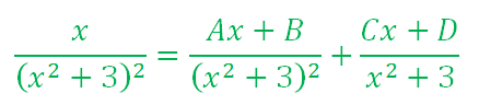
                                1. Frações Parciais
                                  1. Denominador maior que numerador
                                    1. 1º caso: todas as raízes do denominador são reais e simples
                                      1. 2º caso: todas as raízes do denominador são reais, mas pelo menos uma delas é mutipla
                                        1. 3º caso: o denominador possui pelo menos uma raíz complexa (ou seja, possui um termo quadrático irredutível)
                                        2. Numerador maior ou igual ao denominador
                                          1. Faz a divisão do numerador pelo denominador e o numerador p(x) será igual a soma do divisor s(x) mais ou resto r(x) dividido pelo quociente q(x)
                                        3. Substituição Trigonométrica
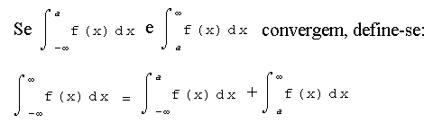
                                        4. Integral Imprópria
                                                1. É preciso calcular a integral imprópria também quando a função apresenta algum tipo de descontinuidade, dessa forma é necessário calcular até o "ponto problema" e depois deste ponto até o intervalo pretendido
                                                Show full summary Hide full summary

                                                Similar

                                                Ecoraiz - Portal Distribuição
                                                Ricardo Bortolato
                                                Calculo diferencial e integral
                                                Lapézio Estúdio
                                                Medidas necessária para implantar o ensino integral
                                                Robson Silva de Sousa
                                                Aprendizagem como autoria na Educação Integral
                                                Denise Castiglioni
                                                CALCULO INTEGRAL
                                                herminio.bianchi
                                                INTEGRAIS IMPRÓPRIAS
                                                Amalia Celina Santos Lacerda
                                                SITE - Ecoraiz
                                                Ricardo Bortolato
                                                Cálculo Diferencial e Integral
                                                Cristina Vaz