Integral Indefinida

Description

Teoremas de Integración y principales Metodos.
ramosjean1
Flashcards by ramosjean1, updated more than 1 year ago
ramosjean1
Created by ramosjean1 almost 10 years ago
21
0

Resource summary

Question Answer
Metodo de resolución por Sustitución Consiste en igualar una parte del integrando a una nueva variable, (a esto se le denomina cambio de variable), por ejemplo u, llamada variable auxiliar. Luego de esto, se debe calcular la derivada de la variable auxiliar y realizar las operaciones necesarias, para que ni en el integrando ni en el diferencial, aparezca alguna expresión en términos de la variable original.
Ejemplos Metodo de Sustitución
Integración por Partes
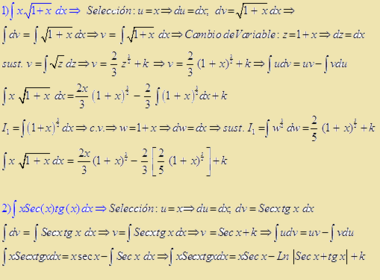
Ejemplos de Integración por Partes
Metodo de Sustitución Trigonométrica
Show full summary Hide full summary

Similar

"Formas de integrar TIC en un aula de clases"
Diana Peñailillo
2.- Gestión de la Integración (Capítulo 4)
CIF Albarran
Reglas de Integración
Freddy Ulate Agüero
CTXIS-UD1. Procesos de integración y exclusión social
Domingo A. Morales Márquez
Examen De Integración Metabolica
bioquimica uncuyo
Etiquetas De Educació Especial
Lidia Rodríguez8332
FRASES DEL PROCESO ADMINISTRATIVO
BENIGNO LUIS IPANAQUE CARMEN
ORGANISMOS DE INTEGRACIÓN
SARA LUCINDA DE JESUS BARRIOS BENAVIDES
BLOQUE II. DESARROLLO DE LA EMPRESA
ESTER PONSODA TRUJILLO
Leonardo
Irak Olmedo
Personas con discapacidad
suhi