Chapter 3: Martingales and Stopping Times

Description

Masters Stochastic Processes and FInance Flashcards on Chapter 3: Martingales and Stopping Times, created by mho1 on 06/06/2015.
mho1
Flashcards by mho1, updated more than 1 year ago
mho1
Created by mho1 over 10 years ago
23
1

Resource summary

Question Answer
filtration
natural filtration
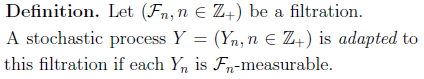
adapted
blank
Martingale (discrete parameter)
submartingale property
supermartingale property
previsible (filtration)
martingale transform
conditions for the martingale transform being a supermartingale / martingale
stopping time
these are equivalent
stopped random variable stopped process
N.B. cannot always take the limit as n tends to infinity and conclude that
Doob's Optional Stopping Theorem
Show full summary Hide full summary

Similar

Maths Probability
Will Thorpe
Probability S1
Alice Kimpton
Maths Exponents and Logarithms
Will Thorpe
New GCSE Maths required formulae
Sarah Egan
GCSE Maths: Statistics & Probability
Andrea Leyden
Counting and Probability
Culan O'Meara
Mathematics Prep for maths exam
Lulwah Elhariry
Probability
Dami Alvarez
Teoría de Conteo
ISABELLA OSPINA SAENZ
Probability
Ravindra Patidar
Probability & Statistics
Rohit Gurjar