AS Level Maths - S1: Chapter 2

Description

AS - Level Maths (S1) Flashcards on AS Level Maths - S1: Chapter 2 , created by Ben C on 05/03/2016.
Ben C
Flashcards by Ben C, updated more than 1 year ago
Ben C
Created by Ben C almost 10 years ago
41
3

Resource summary

Question Answer
What is a quantitative variable? A variable that is associated with numerical observations.
What is a qualitative variable? A variable that is associated with non-numerical observations.
What is a discrete variable? A variable that can take only specific values in a given range.
What is a continuous variable? A variable that can take any value in a given range.
What is a measure of location? A way a set of data can be summarised by giving a single number to describe its centre.
What are the 3 measures of location? Mode, median and mean.
How do you work out the median of DISCRETE data? 1. Divide the total no. of observations by 2. 2. If n/2 is a WHOLE number, find the midpoint of the term and the term above. 3. If n/2 is NOT A WHOLE NUMBER, round the number up and pick the corresponding term.
E.G. of the previous flashcard.
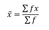
How do you work out the mean of DISCRETE data?
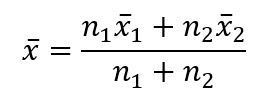
What is the formula for working out the combined mean?
When should you use the mode? -Used when the data is qualitative. -Not very informative if each value occurs only once.
When should you use the median? -Used for quantitative data. -Usually used when there are extreme values as they do not affect it.
When should you use the mean? -Used for quantitative data and uses all the pieces of data. -Gives a true measure of the data. -Affected by extreme values.
How do you find the mean of grouped continuous data? Where x is the mid-point of the class.
How do you find the median of grouped continuous data? -Divide n by 2. -Use interpolation to find the value of the corresponding term.
What does the line method look like for interpolation?
What is the formula for interpolation?
What MUST you be careful of when interpolating? Using the CORRECT class boundaries. If there is a gap, find the mid-point between the classes. If not, use the values of the classes.
What is the modal class? The class with the highest frequency.
In coding, how do you find the mean of the original data? 1. Find mean of coded data. 2. Equate this to the coding used. 3. Solve.
Show full summary Hide full summary

Similar

Statistics Vocab
Nabeeha Yusuf
Statistics, Data and Area (Semester 2 Exam)
meg willmington
Clinical Psychology
Andreea Gherman
Going Global: KEY WORDS
Joanna Griffith
2.2 Intermediate Bonding and Bond Polarity
Laura Perry
HISTOGRAMS
Elliot O'Leary
TYPES OF DATA
Elliot O'Leary
FREQUENCY TABLES: MODE, MEDIAN AND MEAN
Elliot O'Leary
AS level Maths Equations to Remember
Gurdev Manchanda
Statistics Key Words
Culan O'Meara
CUMULATIVE FREQUENCY DIAGRAMS
Elliot O'Leary