|
|
Created by Alice The best
over 9 years ago
|
|
| Question | Answer |
| Enpunktsformeln | |
| Avståndet mellan P och Q | |
| Beskriv en parabel | |
| Hur fungerar implikation och ekvivalens | |
| Rationellt uttryck, vilken form? | |
| Sats polynomdivision | |
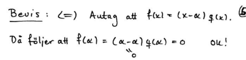
| Faktorsatsen | |
| Bevis 1 faktorsatsen | |
| Bevis 2 faktorsatsen | |
| Definition, axiom, sats | |
| Två trianglar är kongruenta om... 3 fall | |
| Transversalsatsen (lemma + bevis) | |
| Transversal | |
| Randvinkelsatsen | |
| Bevis randvinkelsatsen | |
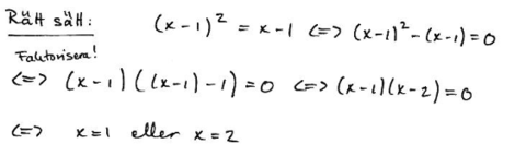
| Faktorisera (x-1)^2 = x-1 | |
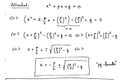
| Pq-formeln | |
| Parabel sammanfattning | |
| Skissera kurvan: 1/(x-2) - 4 | |
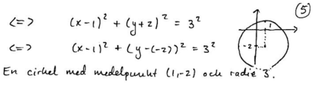
| Cirkelns ekvation | |
| Ellipsens ekvation | |
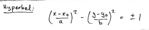
| Hyperbel ekvation. | |
| Hur ser hyperbeln x^2/a^2 - y^2/b^2 = 1 Vilka blir asymptoterna? | |
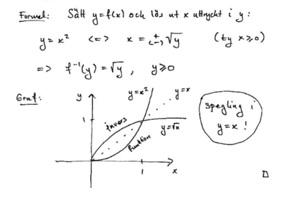
| Def injektiv | |
| Funktionen f kallas jämn om.... udda om... | |
| Bevis för loglagarna: alogx+ alogy alog x-y alogx^y | |
| Areasatsen | |
| Cosinussatsen | |
| cosx grafen (tänk på dansen) | |
| Area av en cirkelsektor | |
| Trigonometriska ettan | |
| Lös ekvationen cos2x=sin5x | |
| lim x--> infin. x/2x+1 | |
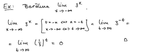
| Beräkna lim x--> - infin 3^x | |
| Lim x--> infin (1+1/x)^x = | |
| X--> O+ sin x/x | |
| lnx då x--> 0+ | |
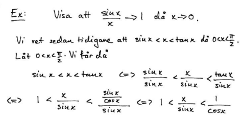
| Visa att sinx/x --> 1 då x--> 0 | |
| Visa att vertikalvinklar är lika stora | |
| vad är vinkelsumman i en triangel respektive fyrhörning? ge bevis | |
| Formulera och bevisa yttervinkelsatsen | |
| definition paralleltrapets | fyrhörning med två motstående sidor som är parallella |
| Formulera eller bevisa parallelogramsatsen | |
| visa att diagonalerna i ett parallelogram delar varandra mitt itu | |
| satsen om likbent triangel | |
| basvinkelsatsen | |
| vad menas med en sluten polygon och hur kan man beräkna arean av området innanför en sådan | |
| Hur ser kurvan e^-x ut? | |
| e^lnx | |
| e^x | |
| ln absolutbelopp x | |
| e^(x) (absolutbelopp) | |
| axiom definition sats | |
| rita en bild med sidovinkel, vertikalvinklar, likbenägna vinklar och alternatvinklar | |
| bisektrissatsen. ej bevisa utan bara skriv den. | |
| vad är cosinussatsen | |
| areasatsen. | |
| cirkelns ekvation | |
| ellips | |
| hyperbel | |
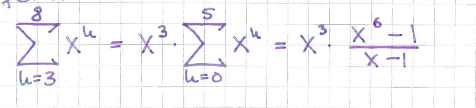
| geometrisk summa | |
| aritmetisk summa | |
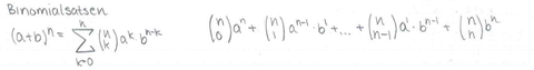
| binominalsatsen | |
| asymptoter k= | |
| asymptoter m | |
| Medelvärdessatsen | |
| faktorsatsen | |
| bevis för faktorsatsen | |
| Areasatsen bevis. | |
| Sinussatsen bevis | |
| cosinussatsen | |
| bevis av cosinussatsen då alla vinklar är spetsiga | |
| varför är vertikalvinklar lika stora? | |
| När är två trianglar kongruenta? | |
| Parallelaxiomet | |
| bevis vinkelsumman i en triangel | |
| vinkelsumman i en fyrhörning | |
| yttervinkelsatsen | |
| Definiera: cirkel, parallelogram rom paralleltrapets, rektangel kvadrat | |
| varför är en rektangel parallelogram + romb varför är det ett parallelogram? | |
| Parallelogramsatsen | |
| satsen om likbent triangel | |
| basvinkelsatsen | |
| bevis arean triangeln bh/2 | |
| Bevis pythagoras sats | |
| bevis area parallelogram | |
| Transversalsatsen | |
| när är två trianglar likformiga | |
| topptriangelsatsen | |
| Likformighetsfallet SVS | |
| Likformighetsfallet SSS | |
| Likformighetsfallet VV | |
| BEVIS randvinkelsatsen. 3 fall | |
| tangent definition | |
| kompletteringsformen | |
| vad gör du när k inte börjar på ex. 0 i en geometrisk summa? | |
| vad anger k i y=kx+m | |
| hur får du asymptoten til en hyperbel | |
| när är en fuktion växande, strängt växande, avtagande, strängt avtagande | |
| exempel på en funktion som är uppåt begränsad och strängt växande mellan 1<x< infinity är | lnx |
| när är en funktion jämn och när udda? | |
| sinussatsen | |
| cos(2x)= sin(2x)= | |
| Hjälpvinkelmetoden | |
| För en cirkel. sambandet mellan bågläng b, vinkel och radie r? | |
| hur ser en arccosx funktion ut? samt arcsinx arctanx | |
| när och om är funktionen f kontinuerlig i punkten a? | |
| några egenskaper hos kontinuerliga funktioner på slutna begränsade intervall | |
| visa att f(X) är deriverbar i a så är f(X) kontinuterlig i a | |
| derivatan av e^x | |
| tangentens ekvation | |
| derivatan av tanx, cotx, arcsinx, arccosx, arctanx, arccotx | |
| bevisa mha medelvärdessatsen att om en funktion på ett intervall I har en positiv derivata så är funktionen strängt växande | |
| bevisa mha medelvärdessatsen att om en funktion på ett intervall I har en derivata som är noll så är funktionen konstant. | |
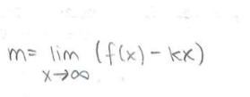
| att y=ax+b är en sned asymptot till en funktionskurva y=f(X) då x-->inifnity innebär att f(X)-(ax+b) --> .. då x--> infinity | |
| visa att f(X) > g(X) x tillhör intervallet I och f och g är deriverbara. | |
| visa att absolutbelopp x ej är deriverbart i x=0 | |
| definition coshx, sinhx | |
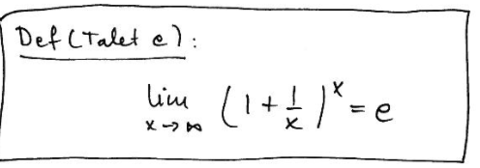
| definiera talet e | |
| bevisa lim x--> infinity x^randomtal/alogx | |
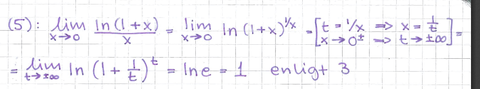
| bevisa ln(1+x)/x när x--> 0 | |
| bevisa e^x - 1 /x när x-->0 | |
| bevisa x^randomtal lnx när x-->0+ | |
| l'hopitals regel | |
| visa att om diagonalerna i en parallelogram skär varandra under rät vinkel, så är parallelogrammen en romb. | |
| bevisa additionsfomrlerna (Cosx+y)= och sin(x+y) | |
| skriv om sinus som cos | sinx=cos(pi/2-x) |
| skriv om cosx som sinx | sin(pi/2-x)=cosx |
| dubbla vinkeln cos2x hur får du fram det? | |
| arcsin(sin(2pi/3)) = | |
| arcsin definierad i vilka x och y väden | x: -1,1 y: -pi/2 och pi/2 |
| kolla facit bara | |
| sats: om f är deriverbar så är f. kontinuerlig bevisa | |
| Derivera x^x | |
| Leibnez formel | |
| implicit derivering derivera medimplicit derviering y2=x | |
| derivera x^x |
Want to create your own Flashcards for free with GoConqr? Learn more.