devido a presença na atmosfera do CO2 que reagindo com a água forma o ácido carbônico H2CO3
é uma ácidez fraca com o pH em torno de 5,4
não traz nenhum prejuizo ao homem ou a natureza.
Causa
a partir do grande crescimento dos centros
urbanos que são altamente industrializados, gera
uma queima excessiva de combustíveis fósseis
fazem com que o pH da chuva caia para algo entre 5 e 2,2
liberando para a atmosfera
óxidos ácidos
óxidos de enxofre
SO2
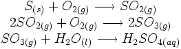
S liberado pelas industrias em combustão
gera SO2, que em contato com o O2 da
atmosfera, se oxida, formando o SO3, que em
contato com o vapor da água se transforma em
H2SO4 ácido sulfúrico, ácido extremamente
forte.
vêm especialmente de vulcões e da atividade microbiológica
óxidos de nitrogênio
NxOy
NO2
N2 liberado pelas indústrias em combustão gera o NO2,
que em contato com a água no vapor gera o ácido nítrico HNO3,
extremamente forte
relâmpagos, queima de biomassa e processos microbiológicos
Consequências
os ácidos causadores da chuva ácida nem sempre caem onde são produzidos, pois o vento freqüentemente
carrega as nuvens para outras regiões, geralmente próximas.
Introduzir texto aqui
PREJUÍZO HISTÓRICO
Como as gotas ácidas destroem objetos de calcário, mármore e cobre, alguns monumentos sofrem forte
corrosão. A acidez é tão poderosa que rompe até mesmo as camadas de resina que protegem as pinturas
dos carros, fazendo a carroceria enferrujar
FLORESTAS
Em contato com a vegetação das florestas, as gotas ácidas queimam as folhas das
plantas, produzindo manchas amareladas e pequenos buracos. Com isso, reduz-se a
capacidade da árvore de obter energia por meio da fotossíntese. As plantas passam a
crescer mais lentamente e raramente atingem seu tamanho normal
SOLO
No solo, a chuva ácida dissolve os principais nutrientes das plantas e carrega-os na
enxurrada. Pior: a acidez das gotas libera alumínio e cádmio, compostos tóxicos para plantas
e animais do local
causa a acidificação do solo tornando-o improdutivo e mais suscetível à erosão.
O solo das florestas não consegue continuamente neutralizar a chuva ácida e, em longo prazo,
isso causa um aumento na concentração de alumínio (tóxico) e uma escassez de cálcio, mineral
fundamental para o crescimento das plantas
HOMEM
Para o homem, ficar molhado em uma tempestade ácida ou nadar em um
lago ácido pode deixar a pele bem ressecada,
o acúmulo de dióxido de enxofre no organismo pode levar à formação
de ácidos no corpo humano causando até danos irreversíveis aos
pulmões.
RIOS
Um lago, por exemplo, que possui um pH em torno de 6,5 não
sobrevive a um pH abaixo de 4 ou 4,5, podendo ocorrer a morte de
todos os seres que vivem ali.
alguns metais, como o alumínio e o mercúrio, ficam livres na
água quando esta está com o pH baixo, e esses metais são
altamente tóxicos para animais e plantas.
é a precipitação de água, seja ela na forma de chuva, neblina ou neve, que possui
uma acidez maior do que da chuva normal.