TORNO MECÁNICO

Description

partes de un torno, función, y parámetros de corte.
puma_29_fs
Mind Map by puma_29_fs, updated more than 1 year ago
puma_29_fs
Created by puma_29_fs almost 11 years ago
61
0

Resource summary

TORNO MECÁNICO
  1. ¿Qué es? maquina para fabricar piezas de forma geométrica de revolución , maquina herramienta para mecanizar piezas por revolucion arrancando material en forma de viruta mediante una herramienta de corte.
    1. COMPONENTES: Los componentes principales son el cabezal principal, bancada, contra punta, carro y unidad de avance
      1. cabezal, incluye el motor, husillo, lector de velocidad, slector de velocidad de avance, y selector de sentido de avance, ademas sirve como soporte y rotacion de la pieza de trabajo que se soporta el husillo.
        1. la bancada sirve de soporte para las otras unidades del torno
          1. la contrapunta puede moverse y fijarse en diversas posiciones a lo largo, la funcion primaria es servir de apoyoal borde externo de la pieza de trabajo.
            1. el carro consta del tablero delantero, porta herramientas, mecanismo de avance, mecanismo para roscar, soporte combinado y los sujetadores para la herramienta de corte.
            2. clases de torno: torno al aire, torno vertical, torno con dispositivo copiador, torno revolver, torno de relojero, torno de madera.
              1. operaciones del torno: cilindrado, refrentado, ranurado,
                1. parámetros de corte:
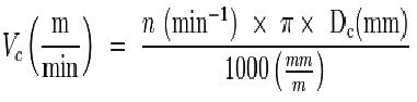
                  1. velocidad de corte:
                    1. velocidad de rotación de la pieza:
                      1. velocidad de avance:
                        1. tiempo de torneado:
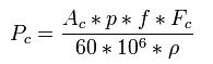
                          1. potencia de corte:
                          Show full summary Hide full summary

                          Similar

                          Deutsch - B1 - Wortschatz : Beschreibung von Menschen
                          Sandra PlaGo
                          ELEMENTOS DE LA CIRCUNFERENCIA
                          Alma Ortiz
                          Describir el físico de una persona en un nivel avanzado
                          EOI Tribunal Departamento de Español
                          EL TEXTO DESCRIPTIVO
                          Lourdes Dominguez Castillo
                          Modelos de párrafos
                          Janitza Palacios Ayala
                          1.3a vocabulario opuestos y descripción de gente. (49p o así)
                          sarai palque santos
                          DISFRACES - ABLITAS 6º A
                          TomoLaPalabra
                          TÉCNICA DE LA DESCRIPCIÓN
                          Lidia Fabián Acevedo
                          Mercadotecnia Personalizada: Megatendencias
                          Gabriela Díaz lucio
                          Paradigmas cuantitativo-cualitativo
                          MA. ISABEL ÁVILA TAP
                          Huesos del Craneo y Cara
                          Andrea Ibañez