null
US
Sign In
Sign Up for Free
Sign Up
We have detected that Javascript is not enabled in your browser. The dynamic nature of our site means that Javascript must be enabled to function properly. Please read our
terms and conditions
for more information.
Next up
Copy and Edit
You need to log in to complete this action!
Register for Free
4132932
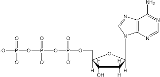
Adenosin Trifosfato.
Description
Es una tarea de biologia del ATP
No tags specified
video atp presentacion
tarea
calificacion
Mind Map by
Raúl Aguilar Eng
, updated more than 1 year ago
More
Less
Created by
Raúl Aguilar Eng
about 10 years ago
79
0
0
Resource summary
Adenosin Trifosfato.
Estructura.
La estructura del ATP esta compuesta por : C10H16N5O13P3
Función.
El ATP es la principal fuente de energía para la mayoría de las funciones celulares.
Ciclo del ATP.
Cuando el ATP se hidroliza a ADP libera la energía química almacenada que es usada por las reacciones anabólicas.
Media attachments
4101711b-1623-4a30-bf6b-02c71337ce28 (image/png)
5bb8752f-80ac-4c4d-bb10-cd5b633166ab.gif (image/gif)
841ae7ed-9b8d-4bb4-b520-febe3ea86ac3 (image/jpg)
Show full summary
Hide full summary
Want to create your own
Mind Maps
for
free
with GoConqr?
Learn more
.
Similar
ESPECIALIDADES DE FISIOTERAPIA
Salma Garcia Cortes
Pediatria
jesus fernando
TAREA DE ESPECIALIDADES DE FISIOTERAPIA
Uriel Eduardo Flores posadas
LINEA DEL TIEMPO DE LA EVOLUCION DEL MICROSCOPIO
jesusceusodontol
Bioelementos Mapa Mental
Joseline Loza Gil
Sistema Óseo
Valerie Argueta
CONCEPTOS BÁSICOS DE LA METODOLOGÍA DE LA INVESTIGACIÓN
Arlen Castillo
Línea del Tiempo: La Creación de la Tierra
Valdeavellano
Tipos de Mercado
hersheys_yumy
Línea del Tiempo: Seres vivos.
daniel gongora
CEREBELO
Montserrat Alva
Browse Library