Física

Description

Monserrat Maldonado-A00818699
m mal
Mind Map by m mal, updated more than 1 year ago
m mal
Created by m mal about 10 years ago
32
0

Resource summary

Física
  1. Cifras significativas
    1. Es el número de cifras medidas de manera exacta más la cifra dada
      1. Para poder establecer el número de cifras significativas de una respuesta se deben seguir el siguiente procedimiento:
        1. 1. Conocer el número de cifras significativas de los datos que intervienen en la operación.
          1. 2. Cumplir con las reglas que a continuación se establecen.
            1. REGLA 1 En la multiplicación o división de dos o más medidas numéricas, la cantidad de cifras significativas en la respuesta final no puede ser mayor que las que figuran en la medición con el menor número de cifras significativas.
              1. REGLA 2 Cuando se suman o restan números, el número de decimales en el resultado debe ser igual al número más pequeño de decimales que contenga cualquier término de la suma o resta.
        2. Ciencia que estudia las propiedades de la materia y de la energía, considerando aquellos fenómenos que son susceptibles de medida y de los cuales se pueden deducir leyes generales.
          1. Magnitud física
            1. propiedades de un sistema físico que pueden ser expresados en forma numérica
              1. Ejemplos
                1. Longitud, masa, tiempo, densidad, área, volumen,trabajo, energía, etc.
                2. Clasificación
                  1. Primera
                    1. Magnitudes escalares
                      1. Un escalar es un tipo de magnitud física que se expresa por un solo número y tiene el mismo valor para todos los observadores.
                        1. Ejemplo
                          1. La longitud, el volumen, la masa, la temperatura, la energía, etc.
                        2. Magnitudes vectoriales
                          1. aquella que, además de un valor numérico y sus unidades (módulo) debemos especificar su dirección y sentido.
                            1. Ejemplo
                              1. Fuerzas
                          2. Segunda
                            1. Fundamentales
                              1. Son aquellas magnitudes físicas elegidas por convención que permiten expresar cualquier magnitud física en términos de ellas.
                                1. Ejemplo
                                  1. longitud, la masa y el tiempo.
                                2. Derivadas
                                  1. Son la combinación de las fundamentales
                                    1. Ejemplo
                                      1. velocidad, presión, área, trabajo, energía, fuerza etc.
                              2. Sistema de unidades
                                1. Unidad de medida
                                  1. cantidad estandarizada de una determinada magnitud física
                                    1. Por ejemplo la longitud es una magnitud física y existen diversas denominaciones para ella: metro, centímetro, kilometro, pie, pulgada, milla, milímetro, etc.
                                  2. Cuando se ha elegido un conjunto reducido de magnitudes físicas a las que denominaremos fundamentales y se han definido sus unidades correspondientes, se dispone entonces de un sistema de unidades.
                                    1. debe cumplir las siguientes condiciones:
                                      1. 1. Ser inalterable, esto es, no ha de cambiar con el tiempo ni en función de quién realice la medida.
                                        1. 2. Ser universal, es decir utilizada por todos los países.
                                          1. 3. Ha de ser fácilmente reproducible.
                                    2. Masa
                                      1. cantidad de materia que tiene un cuerpo
                                      2. Peso
                                        1. se refiere a la fuerza de gravedad ejercida sobre un cuerpo y se expresa en Newtons
                                          1. Fórmula
                                            1. P= m*g
                                              1. Donde
                                                1. P = peso, en Newtons (N) m = masa, en kilogramos (kg) g = constante gravitacional, que es 9,8 en la Tierra (kg.m/s).
                                          2. Fuerza
                                            1. algo que cuando actúa sobre un cuerpo, de cierta masa, le provoca un efecto.
                                            2. Vectores
                                              1. Vector euclídeo
                                                1. Objeto matematico o cantidad física que puede representarse por medio de una flecha dirigida
                                                  1. Tiene magnitud y dirección: fuerza, velocidad, desplazamiento
                                                  2. Aquello que no es vector se denomina escalar o número: masa, temperatura, volumen, mol, distancia
                                                  3. Representación
                                                    1. Gráfica
                                                      1. Algebraica
                                                        1. Polar: [magnitud, ángulo]
                                                          1. Cartesiana: [x,y]
                                                            1. Versor: XI+yJ
                                                          2. El producto escalar de un vector con versor nos da el componente del vector en la dirección del versor
                                                          3. Rotación
                                                            1. Centro de masa/ Centro geometrico
                                                              1. Punto donde la masa aparenta concentrarse. Punto donde al aplicar fuerzas el cuerpo no gira.
                                                              2. Momento de torsión/Torque/Torca/ Momento de la fuerza
                                                                1. T=rFSen=Nm
                                                                  1. Variables
                                                                    1. r=brazo
                                                                      1. distancia entre el eje de giro al punto de aplicación de la fuerza
                                                                      2. F= fuerza aplicada
                                                                        1. Sen=ángulo entre el brazo y la fuerza
                                                                      3. Torque
                                                                        1. Vector que produce cambios en la rotación
                                                                          1. Si T=0
                                                                            1. No gira / Gira uniformemente
                                                                      4. Centro de masa/ centro geometrico
                                                                        1. Punto donde la masa aparenta concentrarse. Punto donde al aplicar fuerzas el cuerpo no gira
                                                                      5. Mecánica
                                                                        1. estudia el movimiento
                                                                          1. Clasificación
                                                                            1. Cinematica
                                                                              1. Descripción sin causas
                                                                                1. Punto. Sólido, líquido, gases
                                                                              2. Dinámica
                                                                                1. Estudia las causas
                                                                                  1. Punto (se reduce a su traslación)
                                                                                    1. Sólidos rígidos
                                                                                      1. Líquidos, gases
                                                                                  2. Dinámica del punto
                                                                                    1. Leyes de Newton
                                                                                      1. 1°) Respecto de un observador inercial, los objetos permanecen en su estado de reposo o movimiento a menos que una fuerza modifique su estado
                                                                                        1. 2°) La suma de las fuerzas externas sobre un cuerpo siempre equivale a multiplicar la masa del cuerpo por su aceleración.
                                                                                          1. Ley de la causalidad
                                                                                            1. 3°) Las fuerzas existen por pares siempre entre dos cuerpos y se satisface que son iguales en magnitud y opuestas en dirección.
                                                                                              1. Ley de contradicción y simetría
                                                                                            2. Ley de la inercia
                                                                                  3. Primera condición de equilibrio
                                                                                    1. Si la suma de ΣF=0 sobre el cuerpo entonces el objeto está en reposo o a lo más se mueve al mismo ritmo en la misma dirección.
                                                                                      1. El peso es la única fuerza que no requiere contacto
                                                                                        1. Siempre va para abajo
                                                                                          1. Se le llama fuerza normal si esa pegado sobre un superficie plana
                                                                                    2. Fuerzas que soportan cables (Tensiones)
                                                                                      1. Pasos para resolver problemas
                                                                                        1. 1.- Elegir el cuerpo donde hay más fuerzas
                                                                                          1. 2.-Identificar todas las fuerzas
                                                                                            1. 3.- Trazar un diagrama de cuerpo libre
                                                                                              1. 4.- La suma de todas las fuerzas debe ser cero.
                                                                                      2. Fricción
                                                                                        1. Fuerza que se opone al movimiento
                                                                                          1. Variables
                                                                                            1. K= constante de fricción dinámico
                                                                                              1. V= velocidad
                                                                                                1. fr= fricción
                                                                                                  1. μ= constante de fricción
                                                                                                    1. N= fuerza de contacto
                                                                                                    2. Fórmulas
                                                                                                      1. N= mgcosθ
                                                                                                        1. Fuerza de objeto que presiona sobre una superficie
                                                                                                        2. p=mgsenθ
                                                                                                          1. Fuerza que provoca el deslizamiento
                                                                                                          2. fr=μN
                                                                                                            1. μ≤1
                                                                                                          3. Clasificación
                                                                                                            1. Líquidos-líquidos: viscosidad
                                                                                                              1. Sólido-Fluido: fr= KV
                                                                                                                1. Sólido-Sólido: fr=μN
                                                                                                              2. cinemática
                                                                                                                1. Conceptos
                                                                                                                  1. rapidez media: V
                                                                                                                    1. Número que resulta de dividir distancia recorrida entre tiempo empleado
                                                                                                                      1. V=d/t
                                                                                                                    2. Velocidad media
                                                                                                                      1. La velocidad es lo mismo que la rapidez pero ya indica la dirección
                                                                                                                      2. Desplazamiento
                                                                                                                        1. Vector que señala el punto de inicio y termina en el punto final
                                                                                                                        2. Velocidad media
                                                                                                                          1. Calcular el vector desplazamiento y dividir entre el tiempo empleado
                                                                                                                          2. Rapidez media
                                                                                                                            1. La magnitud del vector velocidad
                                                                                                                            2. Aceleración media escalar
                                                                                                                              1. # que resulta de dividir el cambio de velocidad entre el tiempo que se emplea para hacer dicho cambio
                                                                                                                              2. Aceleración media vectorial
                                                                                                                                1. La aceleración que tiene una dirección
                                                                                                                                2. Valores instantaneos
                                                                                                                                  1. Límite cuando el tiempo tiende a 0 de dividir la distancia rentre el tiempo
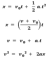
                                                                                                                                3. Ecuaciones
                                                                                                                                  1. Gráficas
                                                                                                                                  2. Condiciones de equilibrio de un sólido rígido
                                                                                                                                    1. ΣFext=0
                                                                                                                                      1. Impide la traslación
                                                                                                                                        1. La suma de las fuerzas externas aplicadas sobre el sólido da 0
                                                                                                                                      2. ΣText=0
                                                                                                                                        1. Impide la rotación
                                                                                                                                        2. Método para resolver problemas
                                                                                                                                          1. 1.)Identificar al cuerpo (no es una cuerda, punto, debe ser algo rígido)
                                                                                                                                            1. 2.)Pintar todas las fuerzas que actúan sobre él
                                                                                                                                              1. 3.)Escribir las ecuaciones (para torques y fuerzas) *La de torque usualmente da más información)
                                                                                                                                        3. Movimiento circular
                                                                                                                                          1. Conceptos
                                                                                                                                            1. Arco
                                                                                                                                              1. Segmento que une dos radios
                                                                                                                                              2. 1 rádian
                                                                                                                                                1. ángulo cuando el arco es igual a un radio
                                                                                                                                                2. Si el movimiento es circular = constante
                                                                                                                                                  1. v=rw
                                                                                                                                                    1. w es que tan rápido gira el objeto
                                                                                                                                                  2. Tipos de movimiento circular
                                                                                                                                                    1. α =0
                                                                                                                                                      1. Uniforme/ giro constante
                                                                                                                                                        1. Planetas, herramientas funcionando
                                                                                                                                                      2. α diferente a 0
                                                                                                                                                        1. constante
                                                                                                                                                          1. arranque o apagado de maquinas
                                                                                                                                                        2. α = variable
                                                                                                                                                          1. lavadora (cambios de giro)
                                                                                                                                                      3. Teoremas de conservación
                                                                                                                                                        1. Leyes de Noëther
                                                                                                                                                          1. En todo movimiento existen 3 condiciones físicas que se mantienen constantes (la energía, el momento lineal y el momento angular)
                                                                                                                                                          2. Conceptos
                                                                                                                                                            1. Energía
                                                                                                                                                              1. Número que se mantiene constante en todo proceso y se mide a través del trabajo
                                                                                                                                                                1. La energía se conserva porque el tiempo es continuo
                                                                                                                                                              2. Trabajo
                                                                                                                                                                1. Número que resulta del producto de la fuerza por la distancia paralela a la fuerza
                                                                                                                                                                2. El trabajo no se conserva, LA ENERGÍA SI
                                                                                                                                                                  1. Potencia
                                                                                                                                                                    1. Rapidez en que tan rápido se realiza un trabajo
                                                                                                                                                                  2. La energía mecánica total de un sistme siempre es constante en el tiempo
                                                                                                                                                                  3. Tipos de energía
                                                                                                                                                                    1. Potencial
                                                                                                                                                                      1. Asociada a la posición del cuerpo
                                                                                                                                                                      2. Cinetica
                                                                                                                                                                        1. Asociada al movimiento del objeto
                                                                                                                                                                      3. Ley de Hooke
                                                                                                                                                                        1. Tipos de sistema
                                                                                                                                                                          1. Cerrado mecánicamente
                                                                                                                                                                            1. No hay fricción ni energía externa
                                                                                                                                                                            2. Semiabierta
                                                                                                                                                                              1. (Existe fricción o solo energía externa)
                                                                                                                                                                              2. Abierto
                                                                                                                                                                                1. Fricción y energía externa
                                                                                                                                                                            3. Teorema de conservación del momento angular
                                                                                                                                                                              1. Momento angular
                                                                                                                                                                                1. Producto del momento de inercia por el peso del objeto
                                                                                                                                                                                2. Momento de inercia
                                                                                                                                                                                  1. número que mide la dificultad de rotacion del cuerpo
                                                                                                                                                                                  2. En una colisión de objetos con estructura, si las fuerzas de los objetos es 0 entonces el momento angular inicial será igual al final
                                                                                                                                                                                    1. Colisiones
                                                                                                                                                                                      1. Elastica
                                                                                                                                                                                        1. chocan y se separan
                                                                                                                                                                                        2. Inelastica
                                                                                                                                                                                          1. Chocan y se vuelven un solo objeto
                                                                                                                                                                                        3. Monserrat Maldonado A00818699
                                                                                                                                                                                      Show full summary Hide full summary

                                                                                                                                                                                      Similar

                                                                                                                                                                                      Cinemática
                                                                                                                                                                                      maya velasquez
                                                                                                                                                                                      CUESTIONARIO DE FÍSICA
                                                                                                                                                                                      amam3105
                                                                                                                                                                                      Diferencias entre la Química y Física
                                                                                                                                                                                      maya velasquez
                                                                                                                                                                                      La Ley de la Gravedad
                                                                                                                                                                                      maya velasquez
                                                                                                                                                                                      Física: Conceptos Básicos
                                                                                                                                                                                      maya velasquez
                                                                                                                                                                                      Segunda Ley de la Termodinámica
                                                                                                                                                                                      Virginia León
                                                                                                                                                                                      INTRODUCCIÓN A LA FÍSICA
                                                                                                                                                                                      moises silva daza
                                                                                                                                                                                      Métodos gráficos para sistemas de fuerzas
                                                                                                                                                                                      Andres Alberto Dranuta
                                                                                                                                                                                      Método científico
                                                                                                                                                                                      Carlos Eduardo Solano González
                                                                                                                                                                                      FUENTES DE ENERGÍA
                                                                                                                                                                                      Alba Guzman
                                                                                                                                                                                      Efecto Fotoeléctrico
                                                                                                                                                                                      Katharine Poloche