LÍPIDOS

Description

exame bioquimica (lípidos) Mind Map on LÍPIDOS, created by epa fda-se on 07/02/2016.
epa fda-se
Mind Map by epa fda-se, updated more than 1 year ago
epa fda-se
Created by epa fda-se over 9 years ago
6
1

Resource summary

LÍPIDOS
  1. lípidos são componentes celulares insolúveis em água e com estruturas diversas que podem ser extraídos com solventes apolares
    1. em quase todos os ácidos gordos, a cadeia carbonada tem um numero par de carbonos (normalmente entre 12 a 24)
      1. podem ser saturados ou insaturados
          1. ácido esteárico, saturado
            1. ácido alfa-linoleico, insaturado
              1. as insaturações estão, quase sempre, na forma cis
          2. os triacilgliceróis são constituídos por três ácidos gordos ligados aos três grupos hidroxilo do glicerol
            1. podem ser simples ou mistos
                1. tristerin, um triacilglicerol simples, constituido por ácido esteárico
                  1. triacilglicerol misto, constituido por ácido esteárico, oleico e alfa-linoleico
            2. os lípidos polares, com cabeças polares e caudas apolares são o maior constituinte das membranas
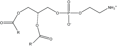
              1. os mais abundantes são os glicerofosfolípidos, que contém ácidos gordos esterificados com dois dos grupos hidróxilo do glicerol e o outro ligado a um fosfato ligado ao head group
                1. diferem na estrutura do head group. os mais comuns são a fosfatidilcolina e fosfatidiletanolamina
                    1. 1-palmitoyl-2-oleoylphosphatidylcholine
                      1. fosfatidiletanolamina
                  1. existem ainda os esteróis
                    1. têm quatro aneis fundidos, um de cinco e três de seis carbonos e um grupo hidróxilo
                      1. o colesterol é o esterol mais abundante em animais
                    2. os esfingolípidos contém esfingosina, mas não têm glicerol
                      1. a esfingomielina contém ácido fosfórico e colina e ainda duas cadeias carbonadas, uma da esfingosina e outra de um ácido gordo
                        1. existem ainda cerebrósidos, globósidos e gangliósidos, ligados a açúcares (monossacarídeos, di ou trisacarídeos e oligossacarídeos complexos, respetivamente
                    3. para determinar a composição de um lípido, eles são extraídos dos tecidos com solventes orgânicos e separados por diferentes técnicas cromatográficas
                      1. fosfolipases específicas para uma das ligações de um fosfolípido podem ser usadas para gerar compostos mais simples para análise
                        1. lípidos individuais são identificados pelo seu comportamento cromatográfico, suscetibilidade a hidrólise por enzimas específicas ou espectometria de massa
                          Show full summary Hide full summary

                          Similar

                          Bioquímica
                          Luíza Cristina
                          BIOQUÍMICA CELULAR
                          paulo.ximendes
                          Vitaminas
                          Helena Macedo
                          LIPIDOS
                          Malu Ameneiros
                          Carboidratos (glicídios, açucares, hidratos de carbono)
                          Beatriz Avanzi
                          Metabolismo de Carboidratos II
                          Juliana Alfer
                          Proteínas - Composto Orgânico
                          Daiana GM
                          Metabolismo de Carboidratos I
                          Juliana Alfer
                          Sais Minerais - Compostos Inôrganicos
                          Daiana GM
                          Bioquimica cards
                          Leatrice Barros
                          Biomoléculas
                          Bruno Romio