Online Test-1

Description

Department Of Mechanical Engineering K J College of Engineering & Management Research, Pune
manepmj
Quiz by manepmj, updated more than 1 year ago
manepmj
Created by manepmj over 10 years ago
37
1

Resource summary

Question 1

Question
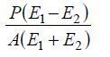
A rod of length L having uniform cross-sectional area A is subjected to a tensile force P as shown in the figure below. If the Young’s modulus of the material varies linearly from E1 to E2 along the length of the rod, the normal stress developed at the section-SS is

Question 2

Question
Two threaded bolts A and B of same material and length are subjected to identical tensile load. If the elastic strain energy stored in bolt A is 4 times that of bolt B and the mean diameter of bolt A is 12 mm, the mean diameter of bolt B in mm is
Answer
  • 16
  • 24
  • 36
  • 48

Question 3

Question
A link OB is rotating with a constant angular velocity of 2 rad/s in counter clockwise direction and a block is sliding radially outward on it with an uniform velocity of 0.75 m/s with respect to the rod, as shown in the figure below. If OA = 1 m, the magnitude of the absolute acceleration of the block at location A in m/s2 is
Answer
  • 3
  • 4
  • 5
  • 6

Question 4

Question
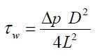
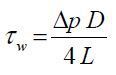
For steady, fully developed flow inside a straight pipe of diameter D, neglecting gravity effects, the pressure drop over a length L and the wall shear stress are related by
Show full summary Hide full summary

Similar

Valores de "se"
Ana María
Methods of Guidance
Wesley Spearman
Globalizacion socio-politica
wilson rodriguez
Ceramics : Mechanical Properties
maria.cutajar.12
Differential
Kevin Paolini
Engineering Project - Mechanical Lift
Ash108
Cellular Work
kaitlinek91
KEFO Motorsport
Ádám Vallyon
VERBES DU TROISIÈME GROUPE
Azalia Gutiérrez
introduccion base de datos2
happy girl
حياتنا الجميلة تتلاشى
Raghad Sara