| Question | Answer |
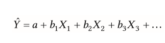
| Regressionskoeffizienten b | = Regressionsgewichte = wie groß ist der relative Einfluss eines Prädiktor bei der Vorhersage der abhängigen Variable (der Einfluss der anderen Prädiktoren wurde bereinigt) |
| Beta Gewicht β | standardisierter Regressionskoeffzient |
| Aufklären von Variablen in der multiplen Regression | = Summe von Variablen wollen konkreten Wert einer Person vorhersagen X = genaue Ausprägung der Variablen |
| multiple Regression | = schätzt den Wert einer Person mithilfe der Ausprägungen mehrere Prädiktorvariablen auf einer Kriteriumsvariable |
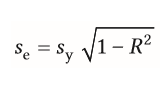
| Güte der Vorhersage bei multipler Regression | = wie gut ist das gesamte Modell für die Vorhersage des Kriteriums geeignet - Standardschätzfehler - multiplen Determinationskoeffizient R² |
| multiplen Determinationskoeffizient R² | gibt den Anteil der Varianz des Kriteriums an, der durch alle Prädiktoren gemeinsam erklärt wird max. Wert = 1 |
| Standardschätzfehler bei der multiplen Regression | wie stark weichen die vorhergesagten Werte vom tatsächlichen Wert des Kriteriums ab |
| Prüfung des einzelnen Regressionsgewicht auf Signifikanz | t-Wert mit n -2 Freiheitsgraden auf Signifikanz prüfen |
| Signifikanztests bei multipler Regression | wird meist drauf verzichtet, da R² gute Info darstellt Signifikanztest für das komplette Modell: F-Test |
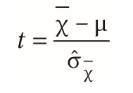
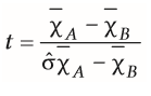
| t-Test | = prüft, ob sich Mittelwerte signifikant unterscheiden - Prinzip aller Signifikanztests: systematische Varianz (Mittelwertsunterschied) geteilt durch Fehlervarianz (SD) |
| t-Test bei zwei unabhängigen Stichproben | = prüft die Signifikanz eines Unterschiedes - Mittelwertsunterschied der Stichprobe wird verglichen mit Mittelwertsunterschied von H0 |
| kritischer t-Wert bei unabhängigen Stichproben | ergibt sich aus der t-Verteilung eines bestimmten Signifikanzniveau (5 oder 1 Prozent) - wird mit empirischen t-Wert verglichen (empirischer Wert muss extremer/absolut größer sein, um signifikant zu sein --> Effekt kann verallgemeinert werden) |
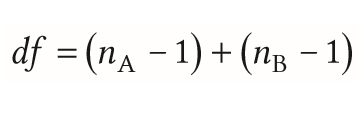
| Freiheitsgrade bei unabhängigen Stichproben | |
| Berechnung des t-Werts bei abhängigen Messungen | |
| t-Test bei einer Stichprobe / Einstichprobenfall | = Mittelwert einer Gruppe wird gegen zweite theoretische Gruppe verglichen |
| Effektgrößen bei unabhängigen Stichproben | - Abstandsmaß d - Abstandsmaß g - Korrelation r - Korrelationskoeffizienten |
| Abstandsmaße beim t-Test (unabhängige Stichprobe) | |
| Korrelation bei t-Tests (unabhängige Stichprobe) | ist identisch mit Korrelationskoeffizienten |
| Effektgrößen bei abhängigen Stichproben | - Abstandsmaße d und g identisch bei Einstichprobenfall |
| Voraussetzungen beim t-Test | - AV ist intervallskaliert - Normalverteilung - ca. gleich große Varianzen - bei unabhängigen Stichproben: Personen beeinflussen sich nicht systematisch gegenseitig |
| Varianzanalyse (ANOVA) | = Verfahren zum Vergleich von Varianzen = Sonderform der multiplen Regression = Vergleich mehrer Mittelwerte möglich - UV darf nominalskaliert sein |
| einfaktorielle ANOVA | = nur eine unabhängige Variable (Faktor) wird untersucht = einfachster Fall |
| relevante Varianzen bei der einfaktoriellen ANOVA | - Gesamtvarianz - erklärte Varianz - nicht erklärte Varianz |
| Gesamtvarianz bei einfaktorieller ANOVA | = Varianz der AV = Summe auf erklärte und nicht erklärte Varianz |
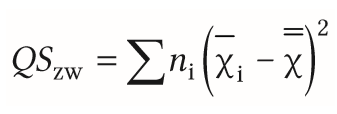
| erklärte Varianz | = Varianz zwischen den Gruppen / Between Varianz / systematische Varianz - mehrere Mittelwertsdifferenzen (Varianz der Mittelwerte), da zwischen jeder Gruppe die Differenz berechnet wird |
| unerklärte Varianz | = unsystematische Varianz / Varianz innerhalb der Gruppe / Within Varianz / Fehlervarianz - Menschen unterscheiden sich und liefern entsprechend unterschiedliche Werte - stellt Fehler dar, der die Aussagekraft unserer Mittelwerte einschränkt |
| Maß der Streuung bei der Varianzanalyse | = Quadratsummen (QS) - sind noch nicht an der Stichprobengröße relativiert |
| Berechnung der Gesamtvarianz bei einfaktorieller ANOVA | =X ist der gemeinsame Mittelwert aller Daten |
| Berechnung der systematischen Varianz (einfaktorielle ANOVA) | = Streuung der Stichprobe - Streuung sollte möglichst groß sein, da wir ja wollen, dass sich unsere Mittelwerte unterscheiden |
| Fehlervarianz bei einfaktoriellen ANOVA | Mittelwert der jeweiligen Gruppe wird verwendet, da wir wissen wollen wie stark die Werte innerhalb der Gruppe variieren |
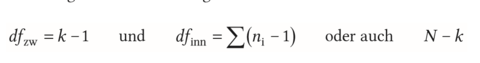
| Freiheitsgrade bei einfaktorieller ANOVA | k = Anzahl von Gruppen N = Gesamtstichprobe |
| F-Test und t-Test | bei zwei Gruppen kommen sie zum gleichen Ergebnis (F = t²) - F kann nicht negativ sein --> kann Richtung des Unterschieds nicht definieren - bei mehr als 2 Gruppen kann nicht mehrmals ein t-Test durchgeführt werden, denn dadurch verdoppelt sich die Wahrscheinlichkeit des Alpha-Fehlers |
| Einzelvergleiche (Post-hoc-Tests) | = Prüfen der einzelnen Mittelwerts-unterschiede auf Signifikanz im Nachhinein - funktionieren wie t-Tests, allerdings wird Kumulation der Alpha-Fehler berücksichtigt (Alpha-Korrektur) - so viele Einzelvergleiche wie mögliche Vergleiche |
| Ablauf der mehrfaktoriellen Varianzanalyse | F-Wert Berechnen (für jede UV, dabei wird die jeweilige andere UV außer acht gelassen) |
| Haupteffekt | = Effekt der UV = haben die einzelnen UV einen signifikanten Effekt auf die AV - pro UV gibt es einen Haupteffekt |
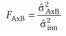
| Interaktion | = erkennbar ob eine gegenseitige Beeinflussung der beiden UV's vorliegt = bedingter Mittelwertsunterschied - nicht durch die Wirkung einzelner Haupteffekte erklärbar sondern durch deren Kombination - nicht parallele Linien im Diagramm weisen darauf hin |
| Berechnung der Interaktion | Varianz AxB = Gesamtvarianz minus alle bekannten Varianzen |
| Varianzanalyse mit Messwiederholungen | = Abhängige Messungen |
| Freiheitsgrade bei abhängigen Messungen (F-Verteilung) | |
| Mixed Models | = mehrfaktorielle Varianzanalysen, bei denen abhängige und unabhängige Messungen gemischt sind |
| Effektgrößen bei der Varianzanalyse | = Eta-Quadrat = wie groß ist der Anteil der UV-aufgeklärten Varianz an der Gesamtvarianz |
| Eta-Quadrat bei einfaktorieller ANOVA | |
| Eta-Quadrat für alle Arten von Effekte | - für F-Werte von Haupteffekte, Interaktionen oder Messwiederholungen |
| partielles Eta-Quadrat ῃ² | = bezieht sich nur auf einen Part bei der mehrfaktoriellen Varianzanalyse |
| Interpretation von Eta-Quadrat ῃ² | |
| Voraussetzung für Varianzanalyse | - AV muss intervallskaliert - Normalverteilung - Varianz aller Messwerte in allen Gruppen gleich groß |
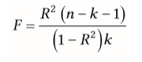
| F-Test als Signifikanztest bei Regressionsrechnung | = kann das Ergebnis der Regressions-rechnung auf Population übertragen werden - signifikantes Ergebnis = >0 |
| erklärte Varianz zur Berechnung des F-Wertes bei der Regressionsrechnung | |
| Fehlervarianz zur Berechnung des F-Wertes bei der Regressionsrechnung | |
| Alternative zur Berechnung des F-Wertes bei Regressionsrechnung | |
| Kolmogorov-Smirnov-Test | = Test zur Prüfung, ob eine Normalverteilung vorliegt - sollte nicht signifikantes Ergebnis liefern, da sich die Verteilung nicht signifikant von einer Normalverteilung unterscheidet |
| Parametrische Testverfahren | = setzen Normalverteilung von Populationsparameter voraus - daraus resultieren Berechnungen zum Mittelwert, Mittelwertsunterschied, F-Wert, t-Wert... |
| Nonparametrische / verteilungsfreihe Verfahren | = machen keine Annahme über die Verteilung - bei nominal- oder ordinalskalierten Daten & nicht normalverteilten Daten |
| Vor- und Nachteile von nonparametrische Verfahren | + Verteilungsfreiheit + Untersuchung sehr kleiner Stichproben + alle Fragestellungen können untersucht werden - Signifikanz ist schwerer festzustellen |
| Nonparametrische Testverfahren bei Ordinalskalen | - Durchführung für Zusammenhangs- und Unterschiedsfragestellungen (haben parametrische Entsprechung) - Messwerte werden als Ränge behandelt |
| Übersicht parametrische und nonparametrischer Verfahren bei Ordinalskalen | |
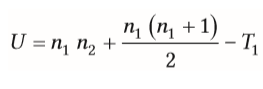
| Test für Unterschiede bei zwei unabhängigen Stichproben (nonparametrisches Verfahren) | - U-Test nach Mann und Whitney Maß = zentrale Tendenz = Median |
| U-Test nach Mann und Whitney (nonparametrisches Verfahren) | Erstellung einer gruppenunabhängigen Rangreihenfolge --> Erstellung der Rangsumme (T) je Gruppe --> Erstellung des durchschnittliches Ranges (T/n) (=deskriptives Ergebnis) U = Berechnung der Signifikanz des Unterschieds |
| empirischer Wert des U-Tests (nonparametrisches Verfahren) | = kleinere Wert der beiden Gruppen --> muss gleich oder kleiner sein als der kritische Wert (aus Tabelle) um Signifikant zu sein |
| U-Test bei großen Stichproben (nonparametrisches Verfahren) | |
| Tests für Unterschiede bei mehr als wie unabhängigen Stichproben (nonparametrisches Verfahren) | Vorgehen identisch wie bei 2 Stichproben --> Test ist H-Test nach Kruskal und Wallis - bei großen Stichproben besteht eine Chi-Quadrat-Verteilung |
| Tests für Unterschiede bei zwei abhängigen Stichproben (nonparametrisches Verfahren) | = Wilcoxon-Test / Vorzeichenrangtest - Differenz zwischen Messung1 und Messung2 --> Rangreihenfolge nach steigender Differenz festlegen (Vorzeichenunabhängig, aber Kennzeichnung des Vorzeichen notwendig) --> Addition der jeweiligen Werte zu T+ und T- |
| Interpretation des Wilcoxon-Tests | kleinere Wert von T+ und T- wird für Signifikanzprüfung verwendet --> kleiner/gleich als kritischer T-Wert laut Tabelle |
| Tests für Unterschiede bei mehr als zwei abhängigen Stichproben (nonparametrisches Verfahren) | = Friedman-Test bzw. Rangvarianzanalyse Ablauf: Messwertdifferenzen werden nach Rang sortiert und Rangsummen verglichen - Prüfgröße: Chi-Quadrat |
| Tests für Zusammenhänge (nonparametrisches Verfahren) | = Rangkorrelation --> korreliert die Ränge der jeweiligen Rohwerte Bedingung: monotone Variablen |
| Ablauf der Rangkorrelation (nonparametrisches Verfahren) | - Messwerte in Rangreihenfolge darstellen - Messwerte beider Variablen einzeln in Rangreihenfolge bringen! --> korreliert werden die Rangreihen beider Messgruppen |
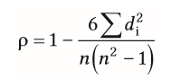
| Möglichkeiten der Berechnung der Rangkorrelation (nonparametrisches Verfahren) | - Spearman's Rho (p) - Kendalls Tau (τ) |
| Anwendung von Spearman's Rho (p) | - intervallskalierten Daten, aber verletzte Voraussetzungen - Anwendung als wären Abstände zwischen Ränge gleich groß --> Voraussetzung: intervallskalierte Daten - Signifikanzprüfung mittels t-Test - Größenordnung wird nicht beachtet |
| Berechnung von Spearman's Rho (p) | d(i) = RZ(xi) - RZ (yi) RZ= Rangzahl |
| Kendalls Tau (τ) | setzt keine gleichen Rangintervalle voraus - Werte zwischen -1 und 1 - Signifikanzprüfung mittels z-Test |
| Effektgrößen bei Ordinaldaten | - sind nicht bestimmbar - Unterschiedsfragestellungen: auf Signifikanztest berufen - Zusammenhangsfragestellungen: Rangkorrelation, Interpretation wie Pearson-Korrelation - aber i.d.R. kleinere Werte |
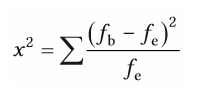
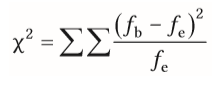
| Anpassungstest (nominalskalierte Variable) | = Chi-Quadrat-Test (X²-Test) - prüft ob empirische Häufigkeitsverteilung mit theoretisch zu erwartenden Häufigkeitsverteilung übereinstimmt |
| Berechnung des Anpassungstests | f(b) = beobachteten Häufigkeiten f(e) = erwarteten Häufigkeiten wird für jede beobachtbare Häufigkeit berechnet und dann alle entsprechend addiert |
| Interpretation des Anpassungstests (nominalskalierte Variable) | erwartete Häufigkeit = Nullhypothese empirischer X²-Wert muss extremer als kritischer X²-Wert zu sein um signifikant zu sein df = k - 1 |
| Goodness-of-fit-Test | Anpassungstest zur Prüfung der Verteilung, vor allem bei komplexen Testverfahren - prüft ob zwei Verteilungen deckungsgleich sind |
| Unabhängigkeitstest bei zwei nominalskalierten Variablen | = prüft ob die Ausprägung einer Variable unabhängig von der Ausprägung einer anderen Variable ist = X²-Test = k*l-X² |
| Kreuztabelle / Kontingenztabelle | bilden verschiedene Kombinationsmöglichkeiten der Ausprägungen der nominalskalierten Variablen ab k*l = Menge der Kombinationsmöglichkeiten |
| Berechnung von X² Unabhängigkeitstest (nominalskalierte Variable) | Formel für beide Variablen (deswegen zwei Summenzeichen) |
| Freiheitsgrade bei X² Unabhängigkeitstest (nominalskalierte Variable) | df = (k-1)(l-1) |
| Interpretation von X² Unabhängigkeitstest (nominalskalierte Variable) | Test ist signifikant, wenn Häufigkeitsverteilung der einen Variable nicht unabhängig der anderen Variable ist |
| Bestimmung der Häufigkeit, wenn keine Gleichverteilung vorliegt (X² Unabhängigkeitstest (nominalskalierte Variable)) | Z = Zeilensumme in Kreuztabelle S = Spaltensummen in Kreuztabelle |
| Unabhängigkeitstests bei Messwiederholungen (=Mc-Nemar-X²-Test) | X² = (b-c)²) / (b+c) --> signifikantes Ergebnis = Verhältnis ist deutlich anders |
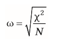
| Effektgröße bei Nominaldaten | = Omega für alle X²-Test |
| Teststärke (Power) | = Wahrscheinlichkeit, mit der ein vorhandener Effekt mithilfe eines Testverfahrens identifiziert werden kann = Fläche der Alternativhypothese abzüglich Beta-Fehler --> Power = 1 - β |
| Abhängigkeit der Teststärke | - Alpha-Fehler - Stichprobengröße - Populationseffekt |
| Festlegung der Teststärke vor der Studie | --> resultiert erforderliche Stichprobengröße in Abhängigkeit von Populationseffekt und Alpha Teststärke >0,6 bzw. 60 % |
| Bestimmung der Teststärke nach einer Studie | wenn kein Effekt gefunden wurde, hilft die Teststärke um herauszufinden wie wahrscheinlich es war, überhaupt einen Effekt zu finden der tatsächlich vorhanden ist |
| Kontranstanalyse | = hypothetisches Musters der Mittelwertsunterschiede von Gruppen (z.B. linear, u-förmig...) wird vor der Untersuchung festgelegt |
| Kontrastgewichte / Lambdagewichte λ | = Größe bei der Kontrastanalyse - Muster wird vor der Untersuchung festgelegt - Prüfung nach der Erhebung, ob eine Übereinstimmung vorhanden ist bzw. wie groß die Abweichung ist |
| Vorgehen bei der Kontrastanalyse | Hypothese definieren - Hypothese mit Kontrastgewichte ausdrücken, Relation ist entscheidend --> Summe muss 0 sein - Datenerhebung - Zuweisung & Überprüfung der Kovaration vom Lambda zum Mittelwert - Übereinstimmung = signifikantes Ergebnis |
| Mögliche Darstellung von Kontrasten und Kontrastgewichte | |
| Kontrastanalyse bei unabhängigen Stichproben | - Varianz durch Kontrast ist max, wenn beide Muster identisch sind |
| F-Wert und Freiheitsgrade bei Kontrastanalyse bei unabhängigen Stichproben | - F-Wert wird ebenso interpretiert wie herkömmlicher F-Wert - kann mittels der F-Tabelle auf Signifikanz geprüft werden - Freiheitsgrade = 1 (da nur ein Kontrast getestet wird) |
| Vorteile der Kontrastanalyse | - größere Teststärke (weil Muster von Mittelwertsunterschieden geprüft werden) - bei Zutreffen der Hypothese liefert Kontrastanalyse größeren F-Wert als Varianzanalyse --> Hypothesen müssen präzise formuliert werden - sehr gut interpretierbare Effektgrößen |
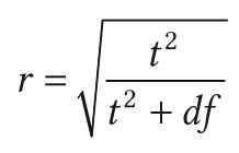
| Effektgröße bei Kontrastanalyse für unabhängige Stichproben | = Korrelation r (effect size) - Interpretation wie Pearson-Korrelation - F (ANOVA) = normale F-Wert Berechnung |
| einfachere Rechnung von r (effect size) | - jeder Person das entsprechende Lambdagewicht zuordnen - Lambdagewicht mit Rohdaten korrelieren |
| Kontrastanalyse für abhängige Stichproben | - Muster für Varianz der Werte der einzelnen Personen über Messzeitpunkte - Vorgehen identisch mit unabhängige Prüfung, bis: Prüfen ob entsprechender Verlauf von Lambda bei jeder Person vorliegt --> liegt im Durchschnitt aller Personen der Trend vor |
| L-Wert | = sagt aus, ob das gemessene Muster mit dem unterstellten Muster (Kontrast) bei jeder Person übereinstimmt - L-Wert ist groß, wenn Übereinstimmung vorhanden - wird für jede Person berechnet |
| L-Wert auf Signifikanz prüfen | - Unterscheidet sich der durchschnittliche L-Wert signifikant von 0 --> Prüfung durch t-Test |
| Effektgröße bei der Kontrastanalyse für abhängige Stichproben | Hedge berechnet ob der Durchschnitt der L-Werte sich von 0 unterscheidet |
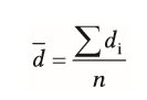
| Berechnung bei der Metaanalyse (Unterschiedsfragestellung) | - Unterschiedliche Werte der Studien auf eine gemeinsame Effektgröße bringen |
| vertrauenserhöhende Dinge bei der Metaanalyse | - sehr viele Studien sind in die Analyse miteingeflossen - die einzelnen Studien hatten große Stichproben - Streuung der einzelnen Stichproben ist klein |
| Arten von multivariaten Verfahren | - Faktorenanalyse - Clusteranalyse - Multivariate Varianzanalyse - Multidimensionale Skalierung - Conjoint-Analyse - Strukturgleichungsmodelle |
| Faktorenanalyse | - Reduktion vieler AV auf Faktoren und Komponenten durch Korrelation - diese stehen stellvertretend für alle Variablen - es gibt keine UV - Ablauf: hohe Korrelation zwischen Variablen --> Variablen werden durch Faktor ersetzt (beschreibt alle eingeflossenen Variablen) |
| Clusteranalyse | = Reduktion von Fällen (Objekten, Personen durch Zusammenfassung in Gruppen - innerhalb einer Gruppe möglichst ähnlich, zwischen den Gruppen möglichst unähnlich - keine UV |
| Multivariate Varianzanalyse (MANOVA) | = prüft den Effekt einer oder mehrer UV auf mehr als eine AV - Ablauf: Overall-Analyse --> keine Signifikanz = keine weiteren Berechnungen --> Signifikanz = mehrere normale ANOVA für jede AV |
| Multidimensionale Skalierung (MDS) | = Ähnlichkeitsbeurteilung, von Personen für Objekte --> Ableitung: Anzahl und Art der Bewertngsdimensionen - Auffinden der relevanten AV Ablauf: Anzahl der Dimensionen festlegen (2-3) --> wo liegen Objekte in den Dimensionen --> Dimensionen interpretieren |
| Conjoint-Analyse / Verbundanalyse | = prüft den relativen Einfluss eines Merkmals / Merkmalsausprägung zur Bewertung von Objekten durch eine Person - meist durch Präferenzanalyse |
| Strukturgleichungsmodelle | = Kombination aus Faktorenanalyse und Regressionsanalysen - bilden komplexe Zusammenhänge zwischen (meist latenten) Variablen - dienen der Überprüfung sozialwissenschaftlicher Modelle & Theorien |
| quantitative / konventionelle Methoden | Phänomene des Erleben und Verhalten in Zahlen ausgedrückt |
| Positivismus | Phänomene des Erlebens und Verhaltens, die wir beobachten und erforschen |
| Qualitative Methoden | Phänomene des Erleben und Verhalten qualitativ bewerten - Datengrundlage: Text, analysiert nach übergeordneten Bedeutungen und Sinnstrukturen - keine Zahlen, Skalen und Kennwerte |
| qualitative Forschungsprozess | - mit oder ohne gezielter Fragestellung ; bei gezielter Fragestellung: - Daten sammeln (meist Texte, Bilder) - nach jeweiligen qualitativen Methode auswerten - Daten verwenden oder ggf. erneute Datensammlung |
| explorativer Charakter eines Forschungsprozess | neues inhaltliches Gebiet wird erforscht |
| Besonderheit des qualitativen Forschungsprozess | - der Mensch übernimmt die Auswertung --> aber: Subjektivität?! |
| Entkräftigung der Subjektivität bei qualitativer Forschung | - läuft nicht beliebig ab, sondern auch nach bestimmten Regeln und mit mehreren Personen (--> stärt Objektivität) - auch quantitative Forschung ist nicht frei von Subjektivität |
| Anwendungsfelder der qualitativen Forschung | - immer Abhängig von der Fragestellung - als Ergänzung / Bereichung der quantitativen Methoden bei bestimmten Fragestellungen |
| Methoden der qualitativen Forschung | - qualitative Inhaltsanalyse - Grounded Theory - Diskursanalyse |
| Qualitative Inhaltsanalyse | - folg am ehesten dem herkömmlichen Forschungsprozess; gut kombinierbar mit quantitativen Methoden - relativ konkrete Fragestellung - Datenmaterial: Alle Formen von Texte - Ziel: zusammenfassende Beschreibung des Textmaterials & Auffinden von Strukturen aus dem Text |
| Prozess der qualitativen Inhaltsanalyse | - Erstellen der Texte - Zusammenfassen in Kurztext - Erstellen von Kategorien, die für die Fragestellung relevant sind (--> theoriegeleitete Inhaltsanalyse) |
| Anwendung von qualitativer Inhaltsanalyse | - bei subjektivem Erleben - Sinnzusammenhänge - Eindrücke - Meinungen welche nicht quantitativ erfasst werden können |
| Grounded Theory | - strukturierte & differenzierter qualitativer Ansatz - keine Fragestellung gegeben --> neue Theorien / Hypothesen finden - Datengrundlage: Alle Formen von Texte - alles wird immer protokolliert, um nachvollziehen zu können, warum der Forscher diese Schlüsse gezogen hat |
| Codieren bei der Grounded Theory | - zeilenweises Codieren (--> größtmögliche Objektivität) - fokussiertes Codieren (kleine Bedeutungseinheiten aus dem zeilenweisen Codieren werden zu Kategorien zusammengefasst) |
| theoretical sampling (Grounded Theory) | - wenn nach allen analysierten ITW noch Infos fehlen / Unklarheiten bestehen --> weitere ITW werden geführt mit Personen bei denen man glaubt, dass diese die Antworten liefern könnten. - wird so lange gemacht, bis alle offenen Punkte beseitigt wurden |
| Anwendung der Grounded Theory | - Sachverhalte des subjektiven Erlebens, welche neu erforscht werden |
| Diskursanalyse | - Analyse des Konstruktivismus - Datenmaterial: alle Arten von aufgezeichneter Sprache - Ziel: Beantwortung bestimmter Fragestellungen (praktisches Problem oder theoretische Frage) |
| Prozess der Diskursanalyse | - Text lesen --> Codierung auf Relevanz für Ausgangsfrage --> Zentrale Aussagen suchen (auch zwischen den Zeilen lesen, z.B. Grammatik, Metapher...) Ziel: Auffinden übergeordneter Muster oder Vorstellungen, die in der Denkweise des Verfasser verankert sind |
| Vor- und Nachteile der qualitativen Methoden | + größere Flexibilität --> unvoreingenommen für Thema & keine Themen übersehen möchte + einbeziehen des Kontext & zusätzlicher Infos - ungenau und objektiv nicht mehr nachvollziehbarer Umgang mit Daten, Einfluss der Subjektivität zu hoch |
| Schwierigkeiten der qualitativen Forschung | - kaum konkrete Handlungsanweisungen - sehr großer Aufwand für ein / mehrere Forscher --> Kombination aus qualitativer und quantitativer Forschung |
Want to create your own Flashcards for free with GoConqr? Learn more.