FLIP- FLOP

Description

flip flop
Daniel Corrales
Mind Map by Daniel Corrales, updated more than 1 year ago
Daniel Corrales
Created by Daniel Corrales over 10 years ago
19
0

Resource summary

FLIP- FLOP
  1. Son los que utilizan el código binario (0,1),también estos circuitos están diseñados para contar, sumar, separar, etc. También los flip flop son dispositivos con memoria,, ya que estos flip flop estan compuestas por compuertas logicas NAND
    1. Asumen solamente uno de dos posibles estados de salida.
      1. ienen un par de salidas que son complemento una de la otra.
        1. Tienen una o mas entradas que pueden causar que el estado del Flip-Flop cambie.
        2. Los flip flop también se los puede representar mediante los diagramas de bloque
          1. Los flip flop también pueden tener varias entradas, dependiendo del tipo de funciones internas que realice, y también tiene dos salidas:
            1. En esta tabla de la verdad se puede observar los cambios que sufre los flip flop, que ocurre cuando se invierte o se niega la compuerta lógica
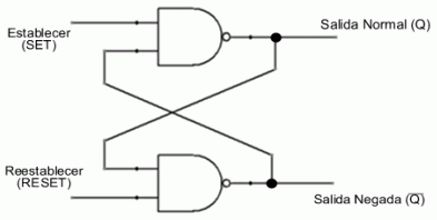
              1. También se le puede represtar mediante un diagrama esquemático, y también estas compuertas se conectan en forma de "x"
                Show full summary Hide full summary

                Similar

                Capas de la Ingeniería del Software
                Diego Salazar
                FLIP FLOP RS
                Daniel Corrales
                FLIP-FLOP J-K
                Daniel Corrales
                Los Flip Flops
                Diego Salazar
                CODIFICADORES
                Diego Salazar
                Decodificador
                Diego Salazar
                flip-flop T
                Diego Salazar
                DEMULTIPLEXORES
                Diego Salazar
                Capas de la Ingeniería del Software
                adriana lopez
                1_Capas de la Ingeniería del Software
                Cristian Vásquez