AS-Level Edexcel Maths formulae (for 2017 & onwards)

Description

Flashcards on AS-Level Edexcel Maths formulae (for 2017 & onwards), created by Alija Shahi on 31/07/2017.
Alija Shahi
Flashcards by Alija Shahi, updated more than 1 year ago
Alija Shahi
Created by Alija Shahi over 8 years ago
12
1

Resource summary

Question Answer
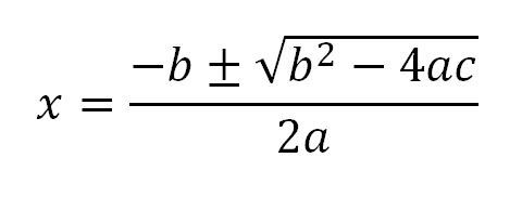
What does the quadratic formula look like?
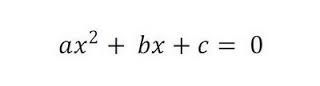
What does the standard quadratic equation form look like? The roots of this equation can be found by using the quadratic formula. a ≠ 0
What is first rule of the law of indices? The powers add up when multiplication is applied
What is second rule of the law of indices? The powers subtract when division is applied
What is the third rule of the law of indices?
Show full summary Hide full summary

Similar

GCSE Maths Symbols, Equations & Formulae
Andrea Leyden
Geometry Formulas
Selam H
Using Formulas
grace0448
Clinical Psychology
Andreea Gherman
Going Global: KEY WORDS
Joanna Griffith
2.2 Intermediate Bonding and Bond Polarity
Laura Perry
HISTOGRAMS
Elliot O'Leary
GCSE Maths Symbols, Equations & Formulae
livvy_hurrell
TYPES OF DATA
Elliot O'Leary
All AS Maths Equations/Calculations and Questions
natashaaaa
FREQUENCY TABLES: MODE, MEDIAN AND MEAN
Elliot O'Leary