FUNCTIONS

Description

Noveno Álgebra Mind Map on FUNCTIONS, created by Ivan camilo Ariza Rodriguez on 07/11/2016.
Ivan camilo Ariza Rodriguez
Mind Map by Ivan camilo Ariza Rodriguez, updated more than 1 year ago More Less
Ivan camilo Ariza Rodriguez
Created by Ivan camilo Ariza Rodriguez about 9 years ago
Ivan camilo Ariza Rodriguez
Copied by Ivan camilo Ariza Rodriguez about 9 years ago
9
0

Resource summary

FUNCTIONS
  1. EXPONENTIAL FUNCTIONS
    1. APPLICATIONS
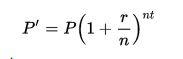
      1. COMPOUND INTEREST
        1. CALCULATES AN INVESTMENT FOR CERTAIN TIME AT A CERTAIN INTEREST AND RATE
          1. PROVIDES A NEW ILLUSTRATION OF EXPONENTIAL GROWTH
          2. DEPRECIATION
            1. CALCULATE DEPRECIATION OF VALUES TAKING ACCOUNT TIME AND RATE
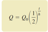
            2. HALF-LIFE
              1. WAY OF DECAY THAT CALCULATES AN AMOUNT AFTER IT TAKES 1/2 TROUGH TIME.
            3. ASYMPTOTE
              1. LINE THAT THE GRAPH APPROCHES AS x → ±∞.
            4. LOGARITHMS
              1. INVERSE FUNCTION OF A UNKNOWN EXPONENT
                1. PROPERTIES
                  1. B ≠ 0
                    1. LOG_B (M·P)=LOG_B M + LOG_B P
                      1. LOG_B B^N=N
                        1. LOG_B(M÷P)=LOG_B M- LOG_B P
                          1. LOG_B 1=0
                            1. LOG_B M^X=X·LOG_B M
                              1. B^LOG_B M=M
                                1. LOG_B B=1
                              2. LN=LOG_E
                              3. COMPOSING FUNCTIONS
                                1. THIS MEANS TO COMBINE FUNCTIONS PUTTING ONE INTO ANOTHER
                                    1. CHANGING X
                                  1. INVERSE FUNCTIONS
                                    1. STEPS
                                          1. THIS STEPS COULD CHANGE BY SIMPLY CHANGING F(X) INTO X AND THE X TO Y
                                            1. THAT SIMBOL MEANS INVERSE FUNCTION
                                          2. WHY?
                                              1. TO PROVE IF THEY ARE INVERSE FUNCTIONS YOU NEED TO COMPOSE EACH ONE WITH THE OTHER AND THE ANSWER MOST BE X
                                            1. GRAPH
                                                1. THE GRAPH MOST BE OPPOSITE IN ODER WORDS INVERSE
                                            Show full summary Hide full summary

                                            Similar

                                            GCSE Maths Symbols, Equations & Formulae
                                            Andrea Leyden
                                            GCSE Maths: Algebra & Number Quiz
                                            Andrea Leyden
                                            GCSE Maths Symbols, Equations & Formulae
                                            livvy_hurrell
                                            Using Formulas
                                            grace0448
                                            Translations and transformations of functions
                                            Christine Laurich
                                            GCSE Maths: Understanding Pythagoras' Theorem
                                            Micheal Heffernan
                                            All AS Maths Equations/Calculations and Questions
                                            natashaaaa
                                            AS level Maths Equations to Remember
                                            Gurdev Manchanda
                                            Transforming Graphs
                                            james_hobson
                                            Trigonometry, Equations, Pythagoras theorem
                                            Caitlin Mortlock
                                            A-level Maths: Key Differention Formulae
                                            humayun.rana