null
US
Sign In
Sign Up for Free
Sign Up
We have detected that Javascript is not enabled in your browser. The dynamic nature of our site means that Javascript must be enabled to function properly. Please read our
terms and conditions
for more information.
Next up
Copy and Edit
You need to log in to complete this action!
Register for Free
3747545
The Hardy-Weinberg Principle
Description
A-Level Biology (4:8 Genetic Variation) Mind Map on The Hardy-Weinberg Principle, created by Elena Cade on 12/10/2015.
No tags specified
biology
a level
hardy-weingberg
genetic variation
unit 4
biology
4:8 genetic variation
a-level
Mind Map by
Elena Cade
, updated more than 1 year ago
More
Less
Created by
Elena Cade
about 10 years ago
23
1
0
Resource summary
The Hardy-Weinberg Principle
Predicts that the frequency of alleles of one gene in a particular population will the same from generation to generation
needs 5 assumptions
No mutations arise
there is no movement of organisms into and out of a population (migration)
mating within the population is random
large population
all genotypes have the same chance of reproductive success
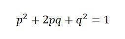
A = Dominant allele , a= recessive allele, p= frequency of allele A in gene pool , q= frequency of allele a in gene pool
p+q= 1.0
p2 = homozygous dominant, q2= homozygous recessive, 2pq= heterozygous dominant
Media attachments
915db7aa-2098-49ff-9dda-8b37df88a577 (image/jpg)
Show full summary
Hide full summary
Want to create your own
Mind Maps
for
free
with GoConqr?
Learn more
.
Similar
Biology Unit 2 - DNA, meiosis, mitosis, cell cycle
DauntlessAlpha
Lipids
Eleanor H
Polysaccharides
Jessica Phillips
Photosynthesis and Respiration
Jessica Phillips
Ecosystems
Jessica Phillips
Gender and Chromosomes
Jessica Phillips
Using GoConqr to teach science
Sarah Egan
Using GoConqr to study science
Sarah Egan
Biology- Genes and Variation
Laura Perry
Biology AQA 3.2.5 Mitosis
evie.daines
Cells and the Immune System
Eleanor H
Browse Library