null
US
Sign In
Sign Up for Free
Sign Up
We have detected that Javascript is not enabled in your browser. The dynamic nature of our site means that Javascript must be enabled to function properly. Please read our
terms and conditions
for more information.
Next up
Copy and Edit
You need to log in to complete this action!
Register for Free
9014242
Application of Differentiation & Integration
Description
Engineering Mind Map on Application of Differentiation & Integration, created by ABDUL BASYIR MOHAMAD on 20/05/2017.
No tags specified
engineering
Mind Map by
ABDUL BASYIR MOHAMAD
, updated more than 1 year ago
More
Less
Created by
ABDUL BASYIR MOHAMAD
over 8 years ago
55
1
0
Resource summary
Application of Differentiation & Integration
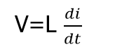
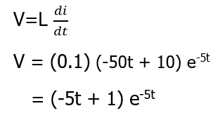
Differentiation in Inductor.
To get di/dt
Voltage across the Inductor
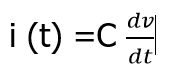
Differentiation in Capacitor.
The voltage across a 5µF capacitor is v(t)= 10 cos 6000t V. Current through Capacitor: ?
To get dv/dt
Current through Capacitor:
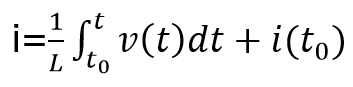
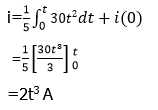
Integration in Inductor.
Obtain i
Energy store
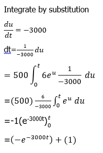
Integration in Capacitor.
Integrate i
Integrate by Substitution
Capacitor Formula:
Inductor Formula
Media attachments
C V Formula (image/png)
C I Formula (image/png)
L I (image/png)
L V Formula (image/png)
Product Rule (image/png)
L I Q (image/png)
Ans Didt (image/png)
Ans V L (image/png)
Chain Rule (image/png)
Chain Rule 2 (image/png)
Chain Rule 3 (image/png)
L Integ Q (image/png)
I (T) (image/png)
Power (image/png)
I Cap (image/png)
I (C) (image/png)
I Cap (image/png)
Show full summary
Hide full summary
Want to create your own
Mind Maps
for
free
with GoConqr?
Learn more
.
Similar
Orbital Mechanics
Luke Hansford
Module 1: Introduction to Engineering Materials
Kyan Clay
Software Processes
Nurul Aiman Abdu
Mathematics
rhiannonsian
Power
Luke Hansford
AOCS - Attitude and orbit control systems
Luke Hansford
Ordinary Differential Equations
rhiannonsian
audio electronics
Lillian Mehler
Building Structures
Niat Habtemariam
communication system
Lillian Mehler
Advanced Propulsion
Luke Hansford
Browse Library