CLASIFICACIÓN DE LAS MATRICES

Description

Clasificacion de matrices con ejemplos
Karen Rdz
Mind Map by Karen Rdz, updated more than 1 year ago
Karen Rdz
Created by Karen Rdz about 10 years ago
168
0

Resource summary

CLASIFICACIÓN DE LAS MATRICES
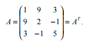
  1. Matriz simétrica: Es una matriz igual a su traspuesta
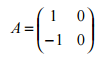
    1. Matriz Anti simétrica: Es una matriz igual a la opuesta de su traspuesta.
      1. Matriz Triangular Superior: Los elementos situados por debajo de la diagonal principal son ceros.
        1. Matriz Triangular Inferior: Los elementos situados por encima de la diagonal principal son ceros.
          1. Matriz Diagonal: Los elementos situados por encima y por debajo de la diagonal principal son nulos.
            1. Matriz Escalar: Es una matriz diagonal en la que los elementos de la diagonal principal son iguales.
              1. Matriz Identidad: Es una matriz diagonal en la que los elementos de la diagonal principal son iguales a 1.
                1. Matriz Transpuesta: Dada una matriz A, se llama matriz traspuesta de A a la matriz que se obtiene cambiando ordenadamente las filas por las columnas
                  1. Matriz Ortogonal: Es aquella cuya traspuesta es igual a su inversa. Es decir, es aquella que multiplicada por su traspuesta da como resultado la matriz unidad.
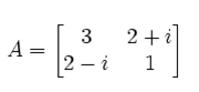
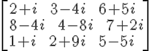
                    1. Matriz Compleja: Sus elementos son números complejos
                      1. Matriz Conjugada: Aquella que se obtiene sustituyendo cada elemento por su complejo conjugado (igual parte real, pero la parte imaginaria cambiada de signo).
                        1. Matriz Hermitiana: Es una matriz cuadrada de elementos complejos que tiene la característica de ser igual a su propia traspuesta conjugada. Es decir, el elemento en la i-ésima fila y j-ésima columna es igual al conjugado del elemento en la j-ésima fila e i-ésima columna, para todos los índices i y j
                          1. Matriz Anti Hermitiana: Es una matriz cuadrada cuya traspuesta conjugada es menos la matriz.
                            1. Matriz Nilpotente: Si A es una matriz cuadrada y = 0 k A para algún número natural k, se dice que A es nilpotente. Si k es tal que Ak-1≠0 y Ak = 0,se dice que A es nilpotente de orden k.
                              1. Matriz Idempotente: Es una matriz igual a su cuadrado.
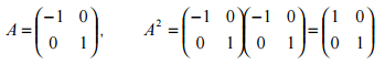
                                1. Matriz Involutiva: Es una matriz que coincide con su inversa.
                                  1. Matriz Potencia: Se llama potencia k-ésima de una matriz cuadrada A, donde k E O, un entero positivo, al producto de A por sí misma, repetido k veces.
                                    1. Matriz Periodica: Sea una matriz A de nxn, si para un número entero y positivo p, ocurre que A^p+1 = A, se dice que A es una matriz de periodo “p”.
                                      Show full summary Hide full summary

                                      Similar

                                      Operaciones con Matrices
                                      Liizbeth Juárez
                                      "TIPOS DE MATRICES"
                                      Liizbeth Juárez
                                      Matrices
                                      Alex Burden
                                      Matrices por bloques
                                      Liizbeth Juárez
                                      Matrix Algebra - AQA FP4
                                      kcogman
                                      CLASIFICACIÓN DE LAS CIENCIAS
                                      achtli baby
                                      AGENCIA DE VIAJES
                                      Neyla Vargas
                                      REDES SOCIALES
                                      Nohora Bayona
                                      CLASIFICACIÓN DE LOS ANIMALES
                                      Laura Gonzalez
                                      Mapa mental - Metodología de la investigación
                                      Mar?a Fernanda Callejas De Le?n
                                      NAVEGADORES Y BUSCADORES
                                      Tatiana Lobo