LIMITES

Description

calculo diferencial Mind Map on LIMITES, created by Luwing suarez balaguera on 11/04/2017.
Luwing suarez balaguera
Mind Map by Luwing suarez balaguera, updated more than 1 year ago
Luwing suarez balaguera
Created by Luwing suarez balaguera almost 9 years ago
26
0

Resource summary

LIMITES
  1. Limites al infinito
    1. la variable tiene infinito o menos infinito y la función tiende a un valor fijo
      1. dada la funcion f(x) entonces limite de f(x)=K cuando x tiende a infinito
    2. limites infinitos
      1. la variable tiende a un valor fijo, mientras que la funcion tiende a mas o menos infinito
        1. dada una funcion f(x) definida en el intervalo abierto l, el cual contiene al valor a, entonces: limite de f(x) = infinito, cuando x tiende a (a)
      2. propiedades
        1. Limite d un constante
          1. limite de una variable
            1. limite de constante por funcion
              1. limite de suma/resta de funciones
                1. limite de producto de funciones
                  1. limite de cocientes de funciones
                    1. limite de potencia
                      1. limite de la raiz
                        1. limite funcion exponencia
                        2. formas indeterminada
                          1. en muchas ocasiones nos encontramos con situaciones como:
                            1. estos limites se basan en eliminar las indeterminaciones, existen 2 métodos:
                              1. Metodos algebraicos: tenemos la factorizacion y la racionalizacion
                                1. metodos de calculo: corresponde al uso de los limites al infinito y a la regla de l´hopital.
                            2. Ejercicio con GeoGebra
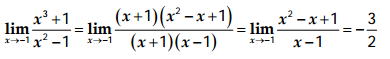
                              1. se presenta un indeterminación de la forma 0/0 para poder desarrollarla debemos evaluar el ejercicio
                                1. descomponemos en factores el numerado y el denominador, luego simplificamos y despues sustituimos la x
                                  1. representacion grafica en GeoGebra
                                  Show full summary Hide full summary

                                  Similar

                                  TEST DE LIMITES
                                  Mariam Ramirez
                                  Límites
                                  Cesar Morgado
                                  Calculo Diferencial e Integral
                                  valeriaportillag
                                  INTEGRACIÓN DE LOS RECURSOS TECNOLÓGICOS
                                  Laura Erives Calzadillas
                                  Estructura calculo diferencial
                                  Miguel Mejia Muñ
                                  MAPA CONCEPTUAL CALCULO DIFERENCIAL
                                  luis aranda
                                  QUE ES UN PROCESO; LIMITES, ELEMENTOS Y FACTORES
                                  gabriela sornoza
                                  FUNCIONES Y LIMITES - TEST FACIL
                                  KEVIN DAVID SILVA PEREZ
                                  Situación y relieve EUROPA
                                  Juan Fernando de la Iglesia
                                  SOCIEDAD AVÍCOLA "AVISPAS DE LA MONTAÑA"
                                  Laura Erives Calzadillas